2020년 공무원 봉급표 2020 교원 호봉표 연구직 지도직 공안직 공무원 판사 검사 월급표 대통령 연봉
2020년에는 다양한 직종의 공무원들의 봉급표와 연봉이 발표되었습니다. 이 글에서는 2020년 공무원 봉급표와 연봉 현황에 대해 알아보겠습니다. 공무원의 직종에 따라 봉급 및 연봉이 상이하며, 이에 대한 상세한 내용을 살펴보겠습니다.
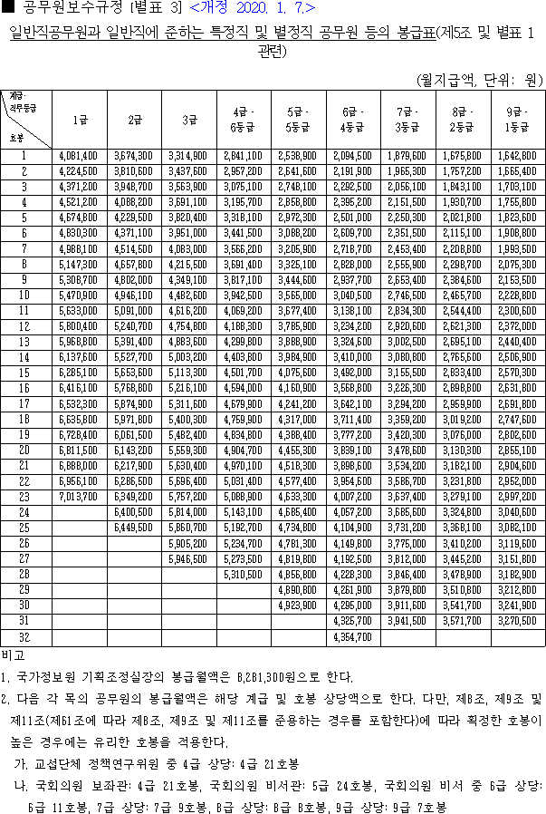
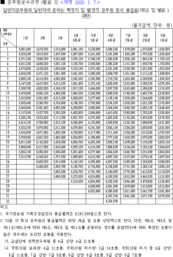
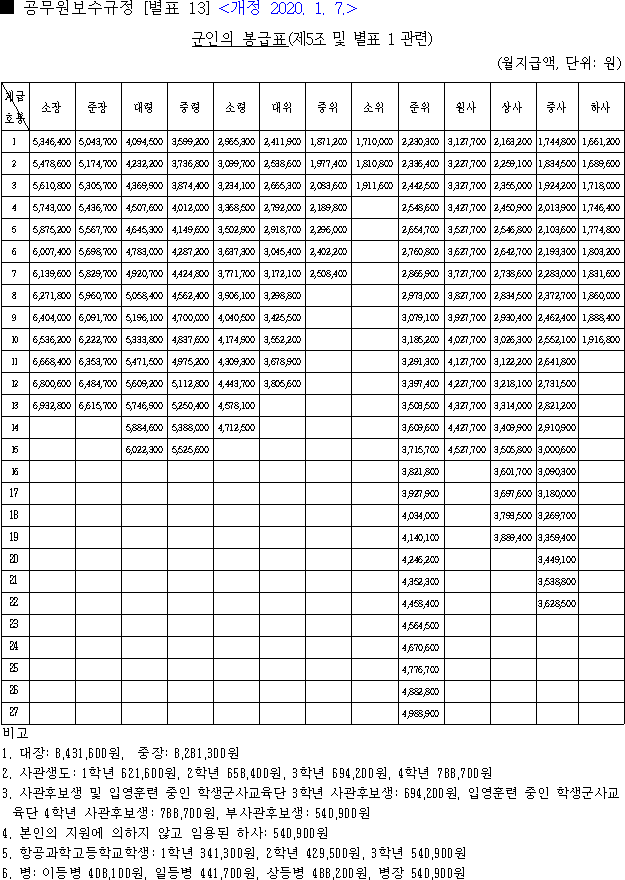
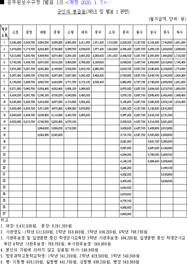
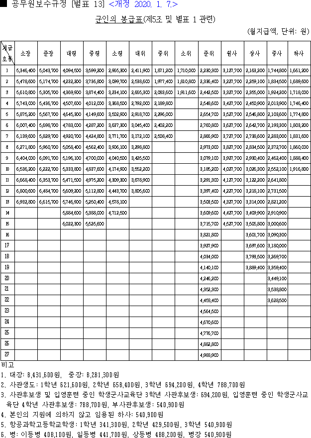
2020년 공무원 봉급표
2020년에는 다양한 직종의 공무원들의 봉급표가 발표되었습니다. 이에는 교원, 연구직, 지도직, 공안직, 판사, 검사, 대통령 등 다양한 직종이 포함되어 있습니다.

교원 및 교육직 연봉
교원 및 교육직의 연봉은 해당 교육기관 및 교육 단계에 따라 다양하게 결정됩니다. 2020년에 발표된 교원 봉급표에 따르면, 교사들의 연봉은 교육 경력, 학력 등을 고려하여 책정됩니다. 또한, 교사들의 연봉은 교육 기관의 종류에 따라 차이가 있을 수 있습니다.


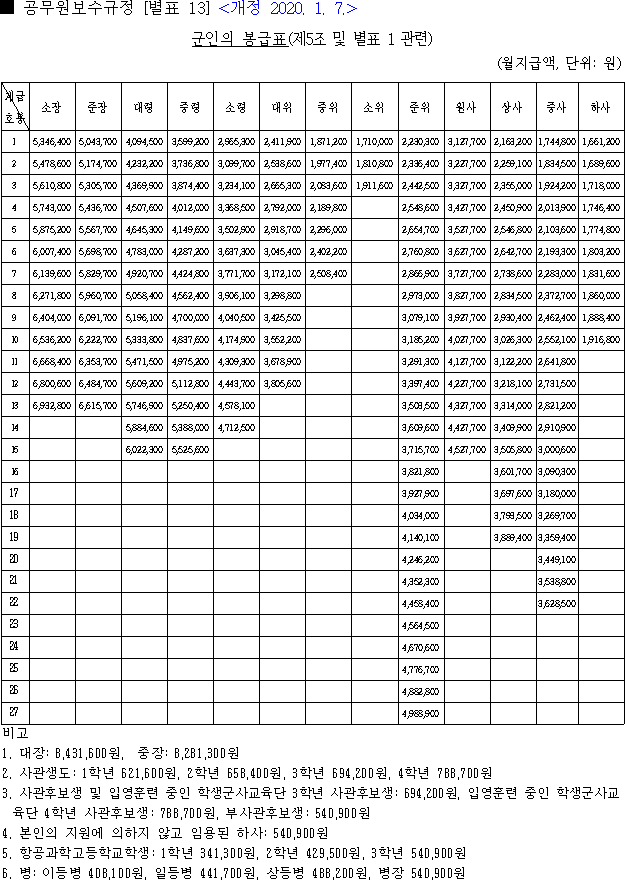
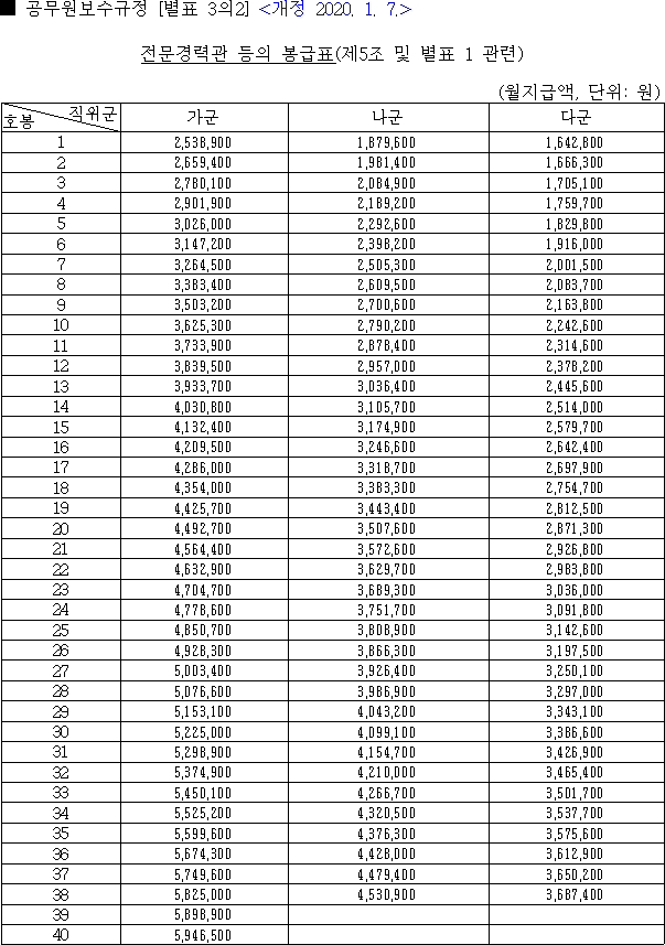
공안직 및 경찰, 소방공무원 연봉
공안직 및 경찰, 소방공무원 등은 국가 안전과 질서를 유지하기 위해 노력하는 직종으로, 그들의 연봉은 공공 안전에 대한 중요성을 반영합니다. 이들의 연봉은 공공 안전을 유지하기 위한 역할과 책임을 고려하여 결정됩니다.



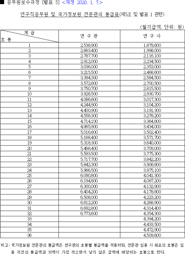
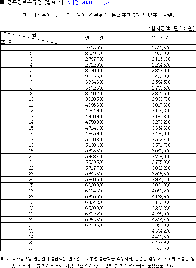
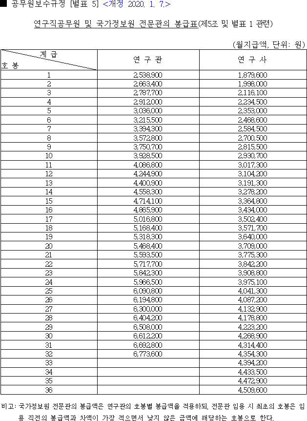
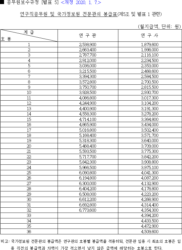
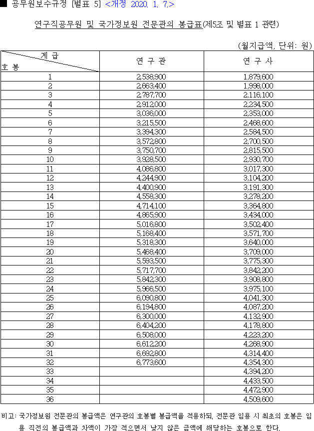
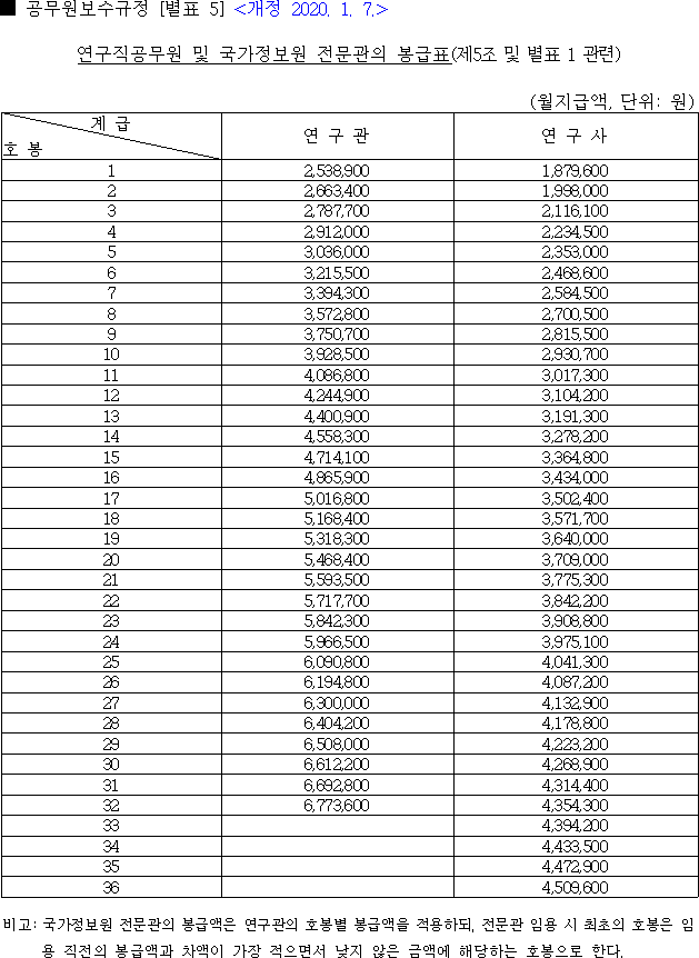
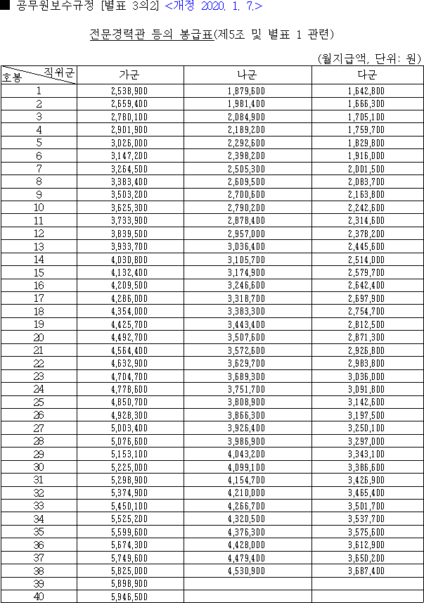
연구직 및 지도직 연봉
연구직과 지도직은 과학기술 연구원, 대학교 교수, 연구소 소속 연구원 등을 포함합니다. 이들의 연봉은 주로 연구 업적, 학력, 경력 등을 고려하여 결정됩니다. 2020년 연구직 및 지도직의 연봉은 해당 기관의 규모와 예산 상황에 따라 달라질 수 있습니다.




판사 및 검사 연봉
판사와 검사는 법률과 사법 시스템을 유지하고 운영하는 중요한 역할을 맡고 있습니다. 따라서, 이들의 연봉은 그들의 법률 지식, 경력, 업적 등을 고려하여 결정됩니다.



대통령 및 공무원 최고위층의 연봉
대통령 및 공무원 최고위층의 연봉은 국가의 최고 지도자 및 관료로서의 역할과 책임을 반영합니다. 이들의 연봉은 국가의 예산과 경제 상황, 그리고 국가 발전에 대한 기여도 등을 고려하여 결정됩니다.

결론
2020년 공무원들의 봉급표와 연봉은 각 직종의 특성과 역할을 고려하여 책정되었습니다. 공무원들은 국가 발전과 안전을 위해 헌신하는 역할을 하고 있으며, 이에 따라 그들의 봉급과 연봉이 결정되었습니다.
글을 요약하는 키워드: 2020년, 공무원, 봉급표, 연봉, 교원, 연구직, 지도직, 공안직, 판사, 검사, 대통령, 국무총리, 경찰, 소방공무원, 군인, 교사, 교수, 헌법연구관, 국정원, 정보원
'공무원 정보 > 공무원 봉급표,수당' 카테고리의 다른 글
| 2020년 공무원 초과근무수당 단가표 2021 교사 군인 시간외수당 지급 단가 기준 (0) | 2020.09.23 |
|---|---|
| 2021년 공무원 봉급 인상률 0.9% 반영 2021 공무원 봉급표 (0) | 2020.09.09 |
| 해외 파병 군인 월급 청해·아크·한빛·동명부대 파병수당 (0) | 2020.08.01 |
| 2021년 공무원 봉급 인상률 예상 2021 공무원 봉급표 내년 교사 호봉표 보수 인상률 (0) | 2020.08.01 |
| 신임 검사 월급 검찰총장 연봉 판사 2020년 봉급표 (0) | 2020.02.17 |
| 2019년 공무원 급여표 - 5급 사무관 연봉, 7급 공무원 연봉, 9급 실수령액 급여 월급 (0) | 2019.11.05 |
| 2020년 경찰공무원 봉급표 2020 교사 호봉표 '20년도 공무원 월급표 (0) | 2019.08.23 |
| 2018 공무원 시간외수당 단가표 계산방법 (0) | 2017.12.06 |
목차