2019년 공무원 급여표 - 5급 사무관 연봉, 7급 공무원 연봉, 9급 실수령액 급여 월급
2019년 공무원 봉급 인상은 1.8%%로 결정 되었습니다.
2017년 3.5% 인상 2018년 2.6% 인상에 이어 1.8% 인상이라니... 2020년 공무원 봉급 인상률은 1.5% 이하가 되지 않을까 염려스럽군요.
2019년 공무원 급여표를 살펴 보죠.
교사 봉급표와 공무원 월급표를 재포스팅 해봅니다.
2019년 공무원 급여를 다시 한번 정리해서 올려봅니다.
겸사겸사 올려봅니다.
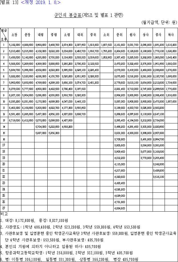
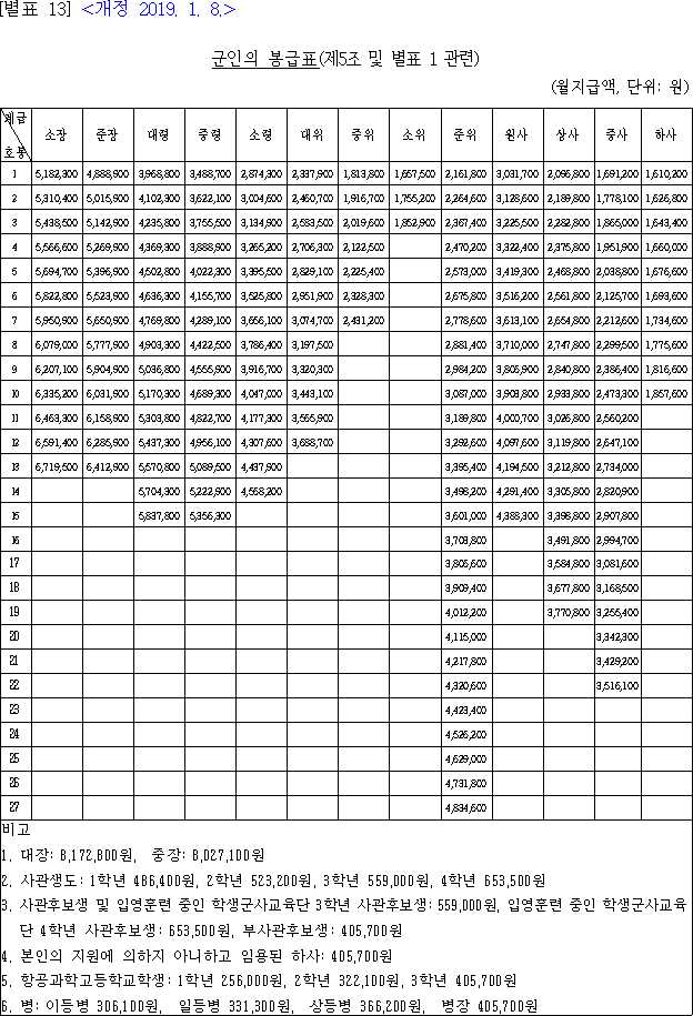
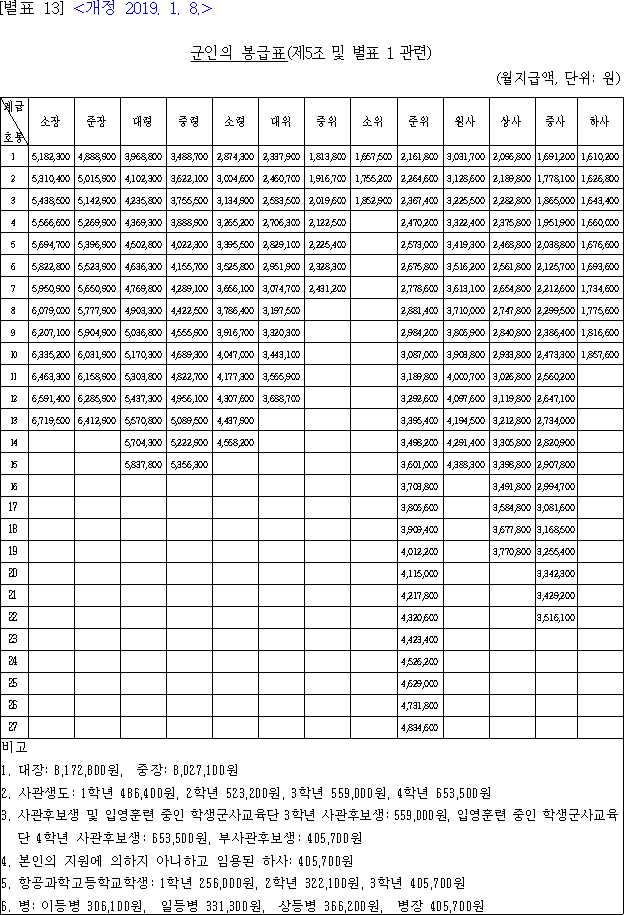
공무원 호봉표만 쭈욱 올려둡니다.


1호봉인 5급 공무원 월급은 246만 원이지만, 1호봉으로 시작하는 5급 공무원은 드문 편이다. 공무원 호봉획정을 하면 5급 공무원으로 처음 임용되더라도 최소 3호봉으로 시작하는 경우가 제법 많다. 예를 들어서 군대만 다녀온 남자들 특히 일반 사병으로 의무복무만 해도 2호봉이 가산된다. 5급 공무원 임용자 중에는 군법무관으로 복무했던 장교 출신의 경우, 군대경력 호봉 인정+ 법무관가산 호봉이 붙게 된다. 9급 공무원부터 시작해 5급 공무원이 되었다면 해당 공무원의 호봉은 최소 10호봉 이상일 수 있다. 그런 이유들로 5급 사무관 연봉의 추정은 이 급여표만으로 예상하기는 무리다. 다만 5급 공무원의 연봉을 감안할 때 이 표에서 최소 10호봉 정도에 해당하는 월급에 12를 곱한 뒤 매달 붙을 정액급식비, 업무보조비와 일 년에 2번 나오는 정근수당, 명절휴가비 등을 더해 주면 된다. 마찬가지로 1호봉인 7급 공무원 월급은 182만 원이지만, 7급 공무원 연봉 역시 1호봉부터 시작하는 경우보다는 7급 공무원 공채나 특채일 경우도 있을 수 있어서. 경채나 특채는 대체로 기존 사회에서의 경력을 호봉으로 인정받는 경우도 있을 수 있다. 공채라면 군대경력 역시 호봉으로 가산 인정이 된다. 7급공무원 은 9급 공무원에 비해 공채 인원이 적기 때문에 9급 공무원으로부터 시작한 7급 공무원이 많을 수 있다. 아무튼 7급 공무원 실수령액은 이 봉급표와는 차이가 많이 날 수 있다. 7급뿐만 아니라... 모든 급에서... 예컨대 9급공무원 실수령액도...
2018년 9급 공무원 월급은 144만 원 선입니다.
2019년 9급 공무원 1호봉 월급은 159만 원으로 인상률이 급격히 높아졌습니다.
최저임금 탓인데요.
덕분에 경찰 공무원 순경 월급과 동일해졌죠.
하지만 군필자라면 3호봉부터니까 165만 원을 9급 공무원 월급으로 봐도 되겠죠?
일반직 공무원봉급표에서 눈에 띄는 것은 국가정보원 기획조정실장 봉급인데요.
다른 월급표들을 살펴보다 보면 눈치챌 수 있을 텐데요.
각 직렬별 공무원 보수표에서 702만 원을(2019년 기준) 월급으로 받는 공무원은 해당 호봉표의 먹이사슬 피라미드의 가장 꼭대기에 위치한 직급의 월급이죠.
물론 그 위에 차관, 장관급들이 있지요.
아무튼 국가정보원 기획조정실장은 월급 수준만으로 따지면 경찰의 치안총감이나 소방의 소방총감과 동급이라는 것을 알 수 있군요.
2015/06/04 - [공무원 정보/공무원 임용] - 공무원 직급표/ 공무원 직급체계 정리 (소방관 계급, 검사 계급, 의전 서열 정리)


경찰공무원 봉급표


공안직에는 경비교도관뿐 아니라 국정원 직원 일부, 국회 방호직, 법원 경비 등의 업무 종사 공무원 급여를 포함합니다.


2016년, 2017년에도 사병월급은 15% 인상되었죠.
2018년에는 무려 88% 인상이 되었습니다.
2019년 병사 월급은 동결되었습니다.


참고로 어린이집 2016 보육 교사 호봉표는 다음 링크를 참고하세요.
2018/01/28 - [2018 공무원 봉급표] - 2018년 보육교사 처우개선비 어린이집 보육료 사립유치원 환경개선비 인상 호봉표
'공무원 정보 > 공무원 봉급표,수당' 카테고리의 다른 글
| 해외 파병 군인 월급 청해·아크·한빛·동명부대 파병수당 (0) | 2020.08.01 |
|---|---|
| 2021년 공무원 봉급 인상률 예상 2021 공무원 봉급표 내년 교사 호봉표 보수 인상률 (0) | 2020.08.01 |
| 2020년 공무원 봉급표 2020 교원 호봉표 연구직 지도직 공안직 공무원 판사 검사 월급표 대통령 연봉 (0) | 2020.02.20 |
| 신임 검사 월급 검찰총장 연봉 판사 2020년 봉급표 (0) | 2020.02.17 |
| 2020년 경찰공무원 봉급표 2020 교사 호봉표 '20년도 공무원 월급표 (0) | 2019.08.23 |
| 2018 공무원 시간외수당 단가표 계산방법 (0) | 2017.12.06 |
| 최승일 경장 훈남 경찰 계급 체계와 경찰연봉은? (경찰 공무원 봉급표/계급표) (1) | 2017.11.08 |
| 진짜사나이2 여군4기 태연교관 비타민교관 윤효은 대위 간호사관학교 47기 간호장교 월급 vs 태양의후예 윤명주 중위 군의관 월급 수당 비교 feat 박예리 경위 (0) | 2016.05.01 |