해외 파병 군인 월급: 청해·아크·한빛·동명부대 파병수당
해외 파병 군인의 월급 및 파병 수당 이해하기
한국은 국제 평화 유지 활동의 일환으로 다양한 지역에 군대를 파병하고 있다. 이러한 파병 장병들에게는 국내에서의 일반 급여 외에도 추가적인 파병 수당이 지급되는데, 이는 장병들이 해외에서 수행하는 고위험 임무의 특성을 고려한 것이다. 이 글에서는 청해, 아크, 한빛, 동명부대 등의 파병수당과 관련된 내용을 자세히 살펴볼 것이다.
파병수당의 중요성
분쟁지역에 파견되는 장병들에게 파병 수당은 매우 중요한 부분을 차지한다. 이 수당은 현지에서 사용할 수 있도록 주로 달러로 지급되며, 환율에 따라 그 가치가 달라질 수 있다. 파병수당의 지급 등급은 특정 기준에 따라 계산되며, 이는 임무의 위험성 및 특수성을 반영한다.
개별 부대별 파병수당 상세 분석
- 청해부대: 2009년부터 소말리아 아덴만 해역에 파견된 청해부대는 해적 퇴치 임무 등을 수행하고 있다. 이 부대는 전투함에 탑승하여 임무를 수행하기 때문에, 일반 파병수당 외에 추가적인 전투함 탑승 수당을 받는다.
- 아크부대: 2011년부터 아랍에미리트에 파견된 아크부대는 한-아랍에미리트 간의 군사협력의 일환으로 활동 중이다. 이 부대의 임무는 상대적으로 비전투적 성격을 띄고 있으며, 따라서 파병수당은 다른 부대에 비해 상대적으로 낮을 수 있다.
- 한빛부대: 남수단 공화국에서 국제연합 남수단 임무단(UNMISS)의 일환으로 평화 정착 및 재건 지원에 기여하고 있다. 이 부대의 임무는 평화유지와 재건 지원으로, 임무의 성격에 따라 파병수당이 책정된다.
- 동명부대: 레바논의 안정화 및 중동지역 평화 달성을 위해 국제연합 레바논 평화유지군(UNIFIL)에 파견된 부대이다. 이들의 임무 역시 다양한 요소를 고려하여 파병수당이 지급된다.
파병수당 산정 방식
파병수당의 산정 방식은 다양한 요소를 고려하여 결정된다.
예를 들어, 아크부대는 전쟁 외의 활동으로 1항은 1점, 비전투지대로 2항 1점, 특수업무 나급 1점 등으로 대략 3등급에 해당되어 95%의 지급률로 수당을받는다. 반면 청해부대는 분쟁해결임무 전투 지원수행으로 1항 4점, 2항 준위험지역 3점, 특수업무 가급 2점 등을 고려하여 9등급으로 책정되며, 이에 따라 155%의 지급률로 수당을 받게 된다.
2021년 군인 월급 예상
2020년 직업군인의 월급과 2021년 예상되는 군인 봉급 인상률을 고려할 때, 2021년 군인 월급은 소폭 상승할 것으로 예상된다. 일반적으로 예상되는 인상률은 대략 1.7% 정도이며, 이는 각종 수당을 포함한 총 월급에 반영될 것이다.
해외에 파병된 장병들에게 지급되는 수당은 그들이 수행하는 고위험 임무의 특성과 중요성을 반영하는 중요한 요소이다. 각 부대별로 다양한 임무와 환경을 고려하여 책정되는 이 수당은 장병들에게 큰 동기부여가 되며, 국제 평화 유지라는 중대한 임무를 수행하는 데 있어 중요한 지원을 제공한다.
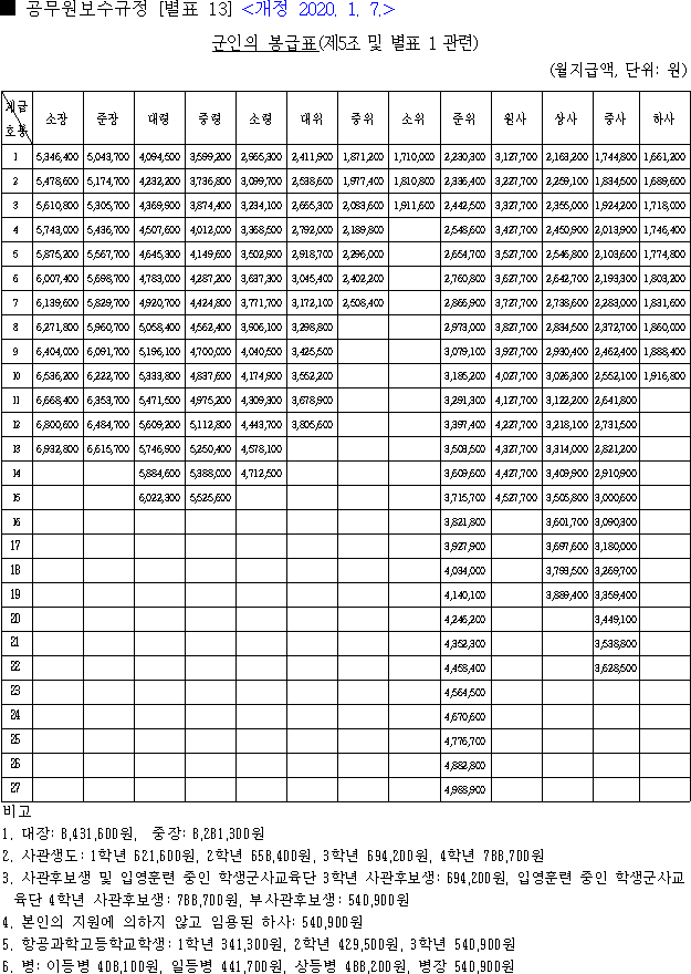
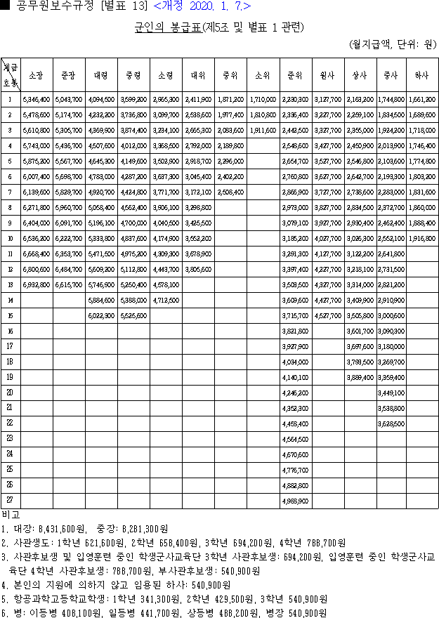
2020년 직업군인 월급

2021 군인 월급
2021년 군인 봉급 인상률은 대략 1.7%로 예측해 본다면 2021 군인 월급은 다음과 같다.

'공무원 정보 > 공무원 봉급표,수당' 카테고리의 다른 글
| 경찰공무원 봉급표 2021 시보 월급 경찰 계급 (0) | 2021.01.06 |
|---|---|
| 2021년 공무원 연금 인상률 퇴직 2021 사학연금 인상 21년 군인연금 (0) | 2021.01.06 |
| 2020년 공무원 초과근무수당 단가표 2021 교사 군인 시간외수당 지급 단가 기준 (0) | 2020.09.23 |
| 2021년 공무원 봉급 인상률 0.9% 반영 2021 공무원 봉급표 (0) | 2020.09.09 |
| 2021년 공무원 봉급 인상률 예상 2021 공무원 봉급표 내년 교사 호봉표 보수 인상률 (0) | 2020.08.01 |
| 2020년 공무원 봉급표 2020 교원 호봉표 연구직 지도직 공안직 공무원 판사 검사 월급표 대통령 연봉 (0) | 2020.02.20 |
| 신임 검사 월급 검찰총장 연봉 판사 2020년 봉급표 (0) | 2020.02.17 |
| 2019년 공무원 급여표 - 5급 사무관 연봉, 7급 공무원 연봉, 9급 실수령액 급여 월급 (0) | 2019.11.05 |
목차