2020년 공무원 초과근무수당 단가표 2021 교사 군인 시간 외 수당 지급 단가 기준
시간 외 근무 수당 단가 계산
군인의 시간 외 수당 단가 계산은 공무원과 비슷한 원리를 따릅니다. 군인도 공무원이기 때문에, 시간 외 근무 수당 기준 호봉표에 따라서 시간 외 근무 수당 단가표가 정해지게 됩니다. 시간 외 근무 수당은 5급 이하 공무원만 지급받기 때문에 군인 역시도 약 5급에 해당하는 대위까지만 시간 외 근무 수당 즉 초과근무수당이 지급됩니다.
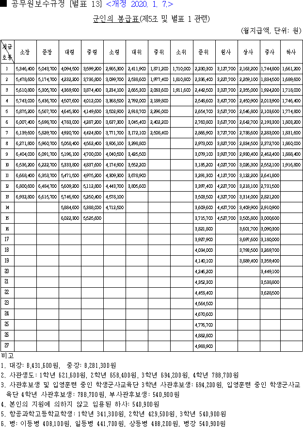
2019년에 개정된 시간외근무수당 기준 호봉표에 따르면, 각 계급별 기준 호봉은 대위가 8호봉, 중위와 소위는 3호봉, 준위는 11호봉, 원사 1호봉, 상사 6호봉, 중사 9호봉, 하사 5호봉을 기준으로 삼고 있습니다.
기준 호봉을 통해 시간외근무수당시간 외 근무 수당 단가를 계산할 수 있습니다. 예를 들어, 중사의 경우에는 중사 9호봉을 기준 호봉으로 삼아 계산합니다. 이를 통해 시간 외 근무 수당 단가를 구할 수 있습니다.

시간 외 근무 수당 기준 호봉표가 2019년에 개정됐습니다. 다 동일하지만, 하사는 기준호봉이 5호봉에서 10호봉으로 바뀌었고, 중위는 3호봉에서 6호봉으로 바뀌었습니다. 이렇게 바뀌면 시간 외 근무 수당 단가가 확 늘어나죠.

군인의 각 계급별 기준 호봉은 위와 같이 대위 8호봉, 중위와 소위는 3호봉을 기준으로, 준위는 11호봉, 원사 1호봉, 상사 6호봉, 중사 9호봉, 하사 5호봉을 기준으로 삼고 있어요. 보통은 일반직 공무원들은 10호봉을 기준으로 삼는 것에 비해서 적게 받는 편인 셈이죠.

준위가 11호봉에 책정된 이유는 아마 직급을 얼추 비슷하게 놓으려는 게 아닌가 생각되네요.
이 기준 호봉으로 예를 들어보면 중사의 경우에는 중사 9호봉을 기준 호봉으로 삼기 때문에 2,385,400원을 기준 호봉으로 삼습니다.

이 기준 호봉 *0.55/209*1.5를 연산합니다.
2,462,400*0.55/209*1.5
대략 9,720원이 나오는군요.


2021년 시간외근무수당 단가 예측
2021년의 시간외근무수당 단가는 아직 발표되지 않았지만, 2020년의 단가에 약 0.9%를 추가하여 예측할 수 있습니다. 이는 일반적인 추세를 따른 예측이며, 정확한 수치는 발표 이후에 확인할 수 있습니다.
2018년 초과근무수당 단가표
아래는 2018년의 초과근무수당 단가표입니다. 이 표를 통해 초과근무수당의 변화 추이를 확인할 수 있습니다.

이거 굉장히 재밌는 결과입니다.
통상수당이 기본급에 산입 되면 나타나는 결과는 이렇게 시간 외 수당도 점프를 하게 됩니다.

통상수당이 기본급에 산입되면 시간 외 수당도 변화하게 됩니다. 마찬가지로 명절휴가비, 정근수당, 성과상여금 등도 모두 기본급을 기준으로 삼기 때문에 통상수당의 기본급 산입은 전체적인 급여를 결정하는 중요한 요소입니다.
시간 외 근무 수당은 군인들의 노고를 상당 부분 보상하는 중요한 요소이며, 정확한 단가는 해당 연도의 공고를 통해 확인할 수 있습니다.
요약
시간외근무수당, 초과근무수당 단가는 각 군인들에게 중요한 수입원입니다. 기준 호봉을 통해 각 계급별로 단가를 계산하고, 시간 외 근무 수당 단가는 매년 발표되는 공고를 통해 확인할 수 있습니다.
- 시간 외 근무 수당 계산에는 각 계급별 기준 호봉을 사용합니다.
- 2021년 시간외근무수당 단가는 2020년 단가에 약 0.9%를 추가하여 예측됩니다.
- 통상수당의 기본급 산입은 시간 외 수당뿐만 아니라 전체적인 급여를 결정하는 중요한 요소입니다.
Keywords:
군인, 시간외수당, 초과근무수당, 공무원, 단가표, 교사, 2021년, 계급, 기준호봉, 예측, 발표, 통상수당, 기본급.
'공무원 정보 > 공무원 봉급표,수당' 카테고리의 다른 글
| 공무원 봉급표2021 (0) | 2021.01.12 |
|---|---|
| 인사혁신처 2021년 공무원 봉급표 2021 교사 호봉표 군인 월급 (0) | 2021.01.11 |
| 경찰공무원 봉급표 2021 시보 월급 경찰 계급 (0) | 2021.01.06 |
| 2021년 공무원 연금 인상률 퇴직 2021 사학연금 인상 21년 군인연금 (0) | 2021.01.06 |
| 2021년 공무원 봉급 인상률 0.9% 반영 2021 공무원 봉급표 (0) | 2020.09.09 |
| 해외 파병 군인 월급 청해·아크·한빛·동명부대 파병수당 (0) | 2020.08.01 |
| 2021년 공무원 봉급 인상률 예상 2021 공무원 봉급표 내년 교사 호봉표 보수 인상률 (0) | 2020.08.01 |
| 2020년 공무원 봉급표 2020 교원 호봉표 연구직 지도직 공안직 공무원 판사 검사 월급표 대통령 연봉 (0) | 2020.02.20 |
목차