인사혁신처 2021년 공무원 봉급표 및 교사 호봉표, 군인 월급
2021년에는 공무원들의 봉급 및 교사들의 호봉, 군인들의 월급이 중요한 이슈였습니다. 인사혁신처에서는 이에 대한 공개적인 정보를 제공하여 대중의 이해를 돕고자 했습니다. 이에 따라 2021년 공무원 봉급표, 교사 호봉표, 그리고 군인 월급 등의 자료가 공개되었습니다. 이번 글에서는 해당 자료들에 대해 자세히 알아보도록 하겠습니다.
공무원 봉급표
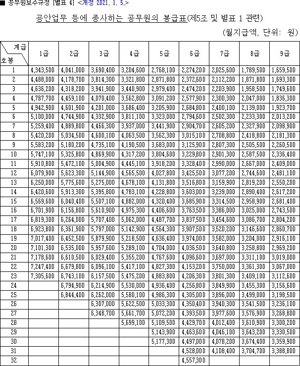
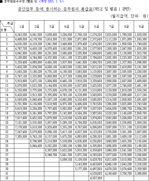
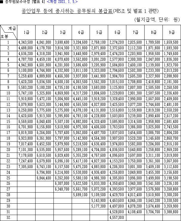
인사혁신처에서 발표한 2021년 공무원 봉급표는 공무원들의 소득과 근무 조건에 대한 중요한 정보를 제공합니다. 이 봉급표는 일반직 공무원을 포함하여 경찰공무원, 공안직 공무원, 우정직 공무원 등 다양한 직종에 해당하는 봉급 정보를 담고 있습니다.
2021 일반직 공무원 봉급표

교사 호봉표
교사들은 교육의 중추적인 역할을 수행하고 있으며, 그들의 봉급은 교육의 질과 관련이 깊습니다. 2021년 교사 호봉표는 교사들의 경력과 역량을 고려하여 호봉이 결정되는 과정을 설명하고 있습니다. 교사들에게는 경력에 따라 적정한 보상이 이뤄져야만 교육 현장에서의 역할을 충실히 수행할 수 있을 것입니다.
2021 교사 호봉표

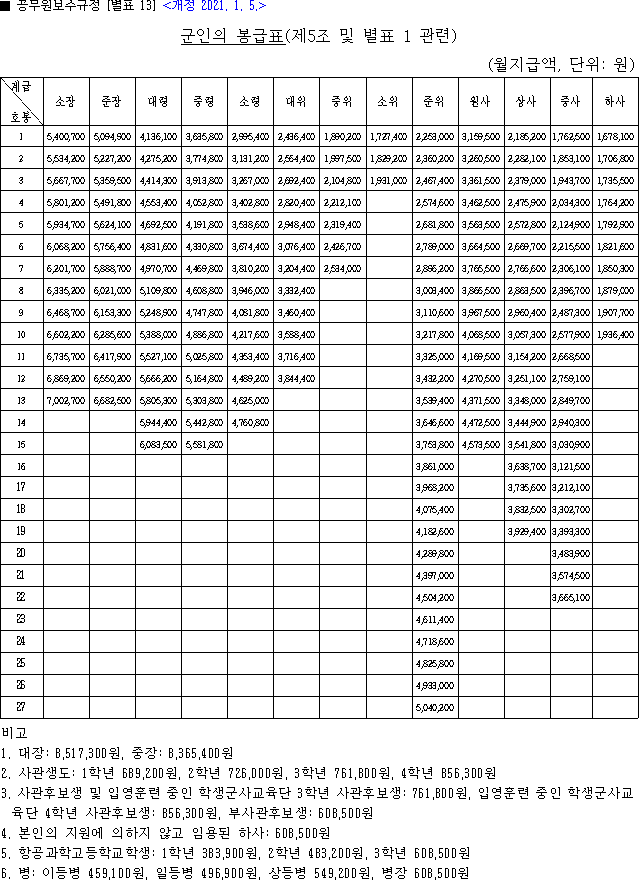
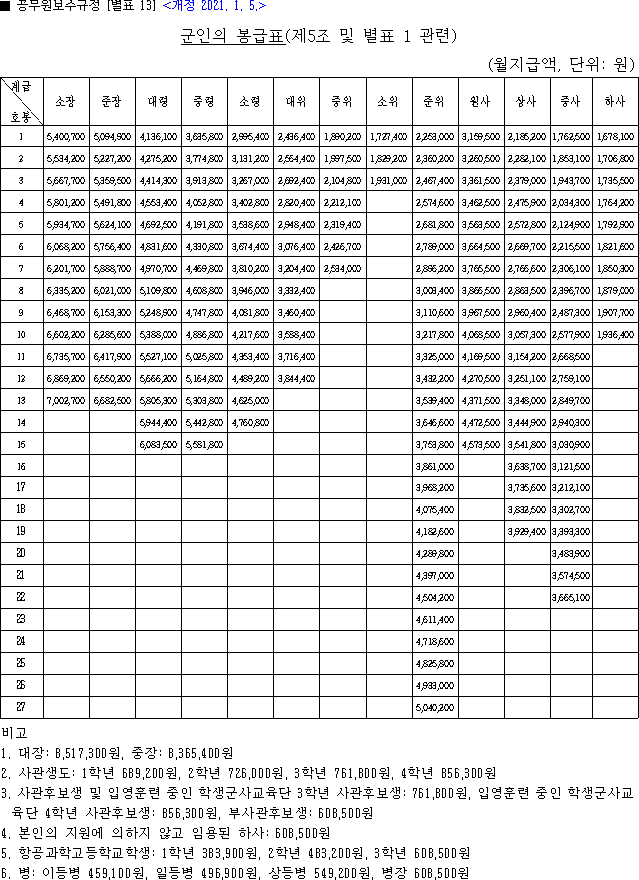
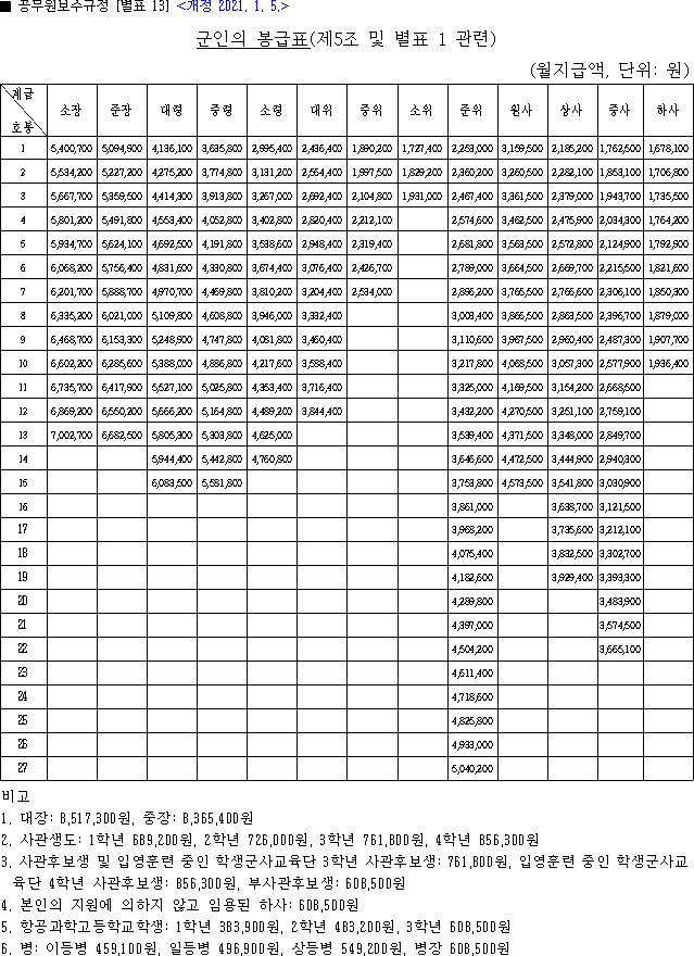
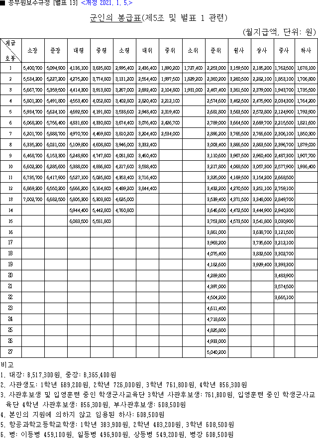
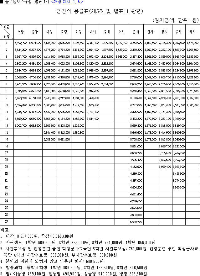
군인 월급
군인들은 국가의 안보를 지키는 중요한 역할을 담당하고 있습니다. 군인 월급은 국방력 유지와 군인들의 생활 안정을 위해 매우 중요한 요소입니다. 2021년 군인 월급은 군 별, 계급, 복무 연수 등 다양한 요인에 따라 다르게 책정되어 있습니다.
2021 군인 월급

2021 경찰공무원 봉급표

2021 공안직공무원 봉급표

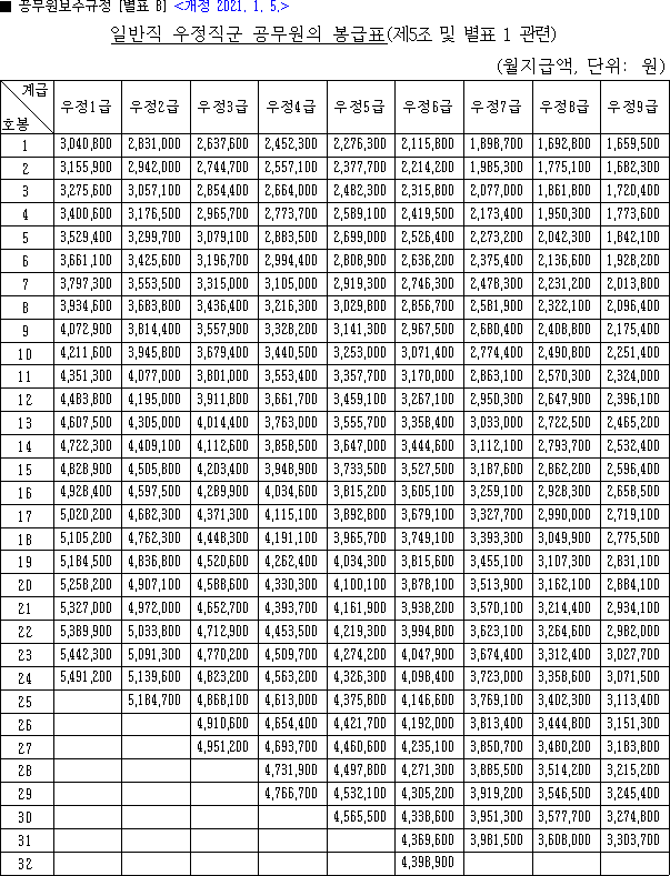
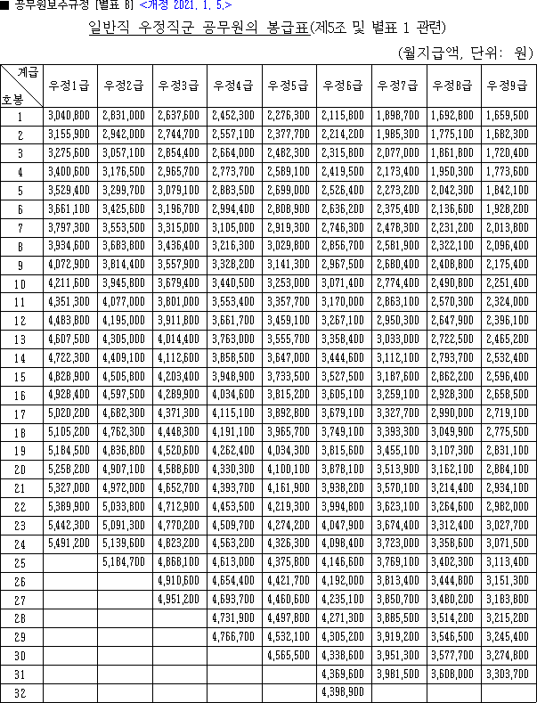
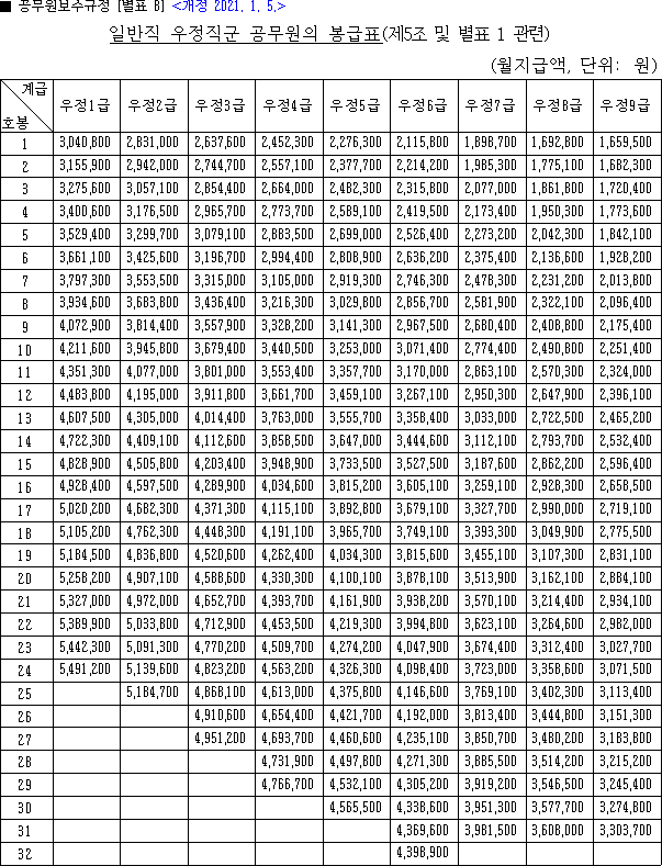
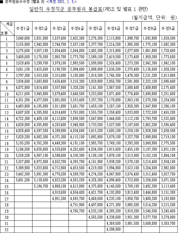
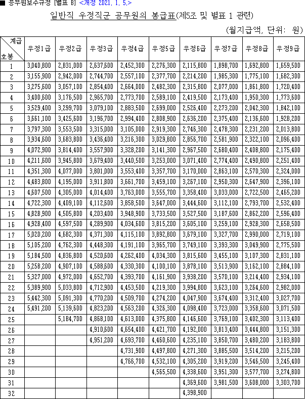
2021 우정직 공무원 봉급표

결론
2021년 공무원 봉급표, 교사 호봉표, 그리고 군인 월급은 각 직종의 인원들에게 매우 중요한 정보입니다. 이를 통해 각 직종의 근로자들이 자신의 노력과 역량에 맞는 적정한 보상을 받을 수 있도록 정부는 계속해서 노력해야 합니다.
요약
인사혁신처가 공개한 2021년 공무원 봉급표, 교사 호봉표, 그리고 군인 월급은 각 직종의 근로자들에게 중요한 정보를 제공하고 있습니다. 이를 통해 근로자들의 권익이 보호되고, 국가의 안정과 발전에 기여할 수 있을 것입니다.
Keywords
인사혁신처, 2021년, 공무원, 봉급표, 교사, 호봉표, 군인, 월급, 경찰공무원, 공안직공무원, 우정직 공무원, 교육, 국방, 소득, 보상, 근무 조건
'공무원 정보 > 공무원 봉급표,수당' 카테고리의 다른 글
| 공무원 여비규정 2023년 교사 관내 관외 출장 지급 교통비 숙박비 (0) | 2023.08.05 |
|---|---|
| 2024년 공무원 봉급 인상률과 2024 공무원 수당 인상 예측 (0) | 2023.07.24 |
| 교육 공무원 교사 명절휴가비 지급기준 2021 교원 설 추석 상여금 수당 지급일 (0) | 2021.03.23 |
| 공무원 봉급표2021 (0) | 2021.01.12 |
| 경찰공무원 봉급표 2021 시보 월급 경찰 계급 (0) | 2021.01.06 |
| 2021년 공무원 연금 인상률 퇴직 2021 사학연금 인상 21년 군인연금 (0) | 2021.01.06 |
| 2020년 공무원 초과근무수당 단가표 2021 교사 군인 시간외수당 지급 단가 기준 (0) | 2020.09.23 |
| 2021년 공무원 봉급 인상률 0.9% 반영 2021 공무원 봉급표 (0) | 2020.09.09 |
목차