2018년 공무원 보수규정 개정안 공표는 1월 19일였습니다.
19일이 주말인 데다가 1월 20일 공무원 봉급날 짜가 토요일인 관계로 1월 19일이 공무원 급여일이라 회계과에서는 개정된 공무원 봉급표가 필요했음에도 불구하고...
사전 유출을 우려한 행자부의 요청으로 급여 수령자들인 공무원의 1월 급여 회람을 금지시켰습니다.
*-9급여를 지급하기 전에 얼마 줄 것이다 미리 회람합니다.
그런데 1월 18일 자 관보로 찍힌 2018 공무원 봉급표가 1월 17일에 먼저 사전 유출되었습니다.
관보 사이트 보안이 허술한 모양입니다.
올해 공무원 봉급표 2021은 오히려 정부에서 2020년 12월 29일에 전격적으로 공보처를 통해서 일반직렬 봉급표를 공개했었습니다.

그리고 2021년 1월 5일 공무원 보수규정 공표와 동시에 공새 되었습니다.
2021년 공무원 봉급 인상률은 0.9%로 역대 최저인데, 2급 공무원 이상은 그마저도 동결됐습니다.

적게 올린 월급 대신 2021년 공무원 직급보조비, 정액 급식비등의 공무원 수당 인상을 시사했었지만 이 역시 지켜지지 않았습니다.

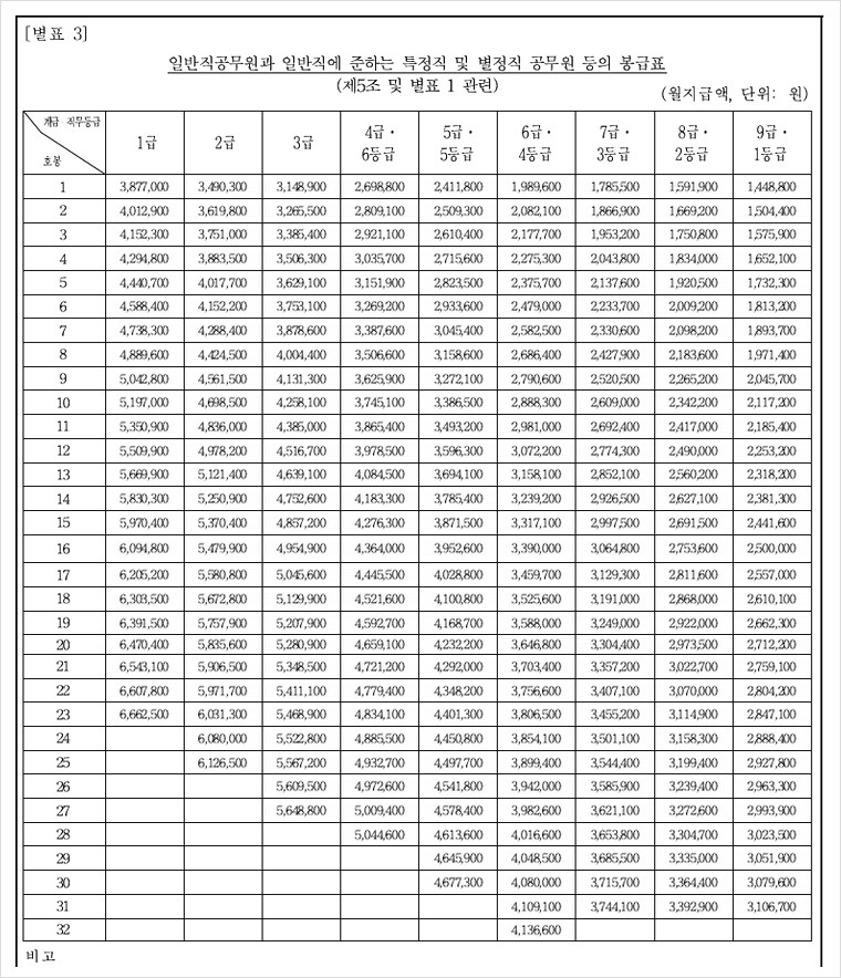
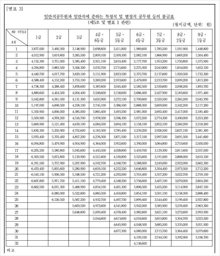
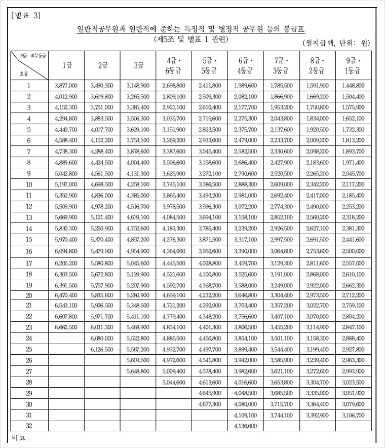
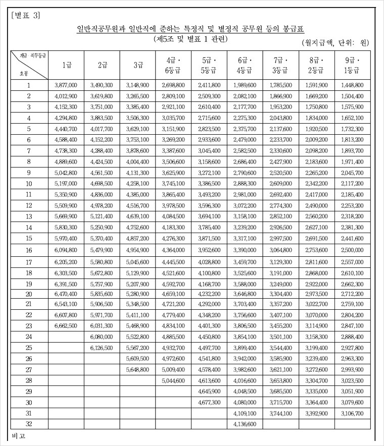
그리하여 발표된 인사혁신처 공무원 봉급표는 위와 같습니다.

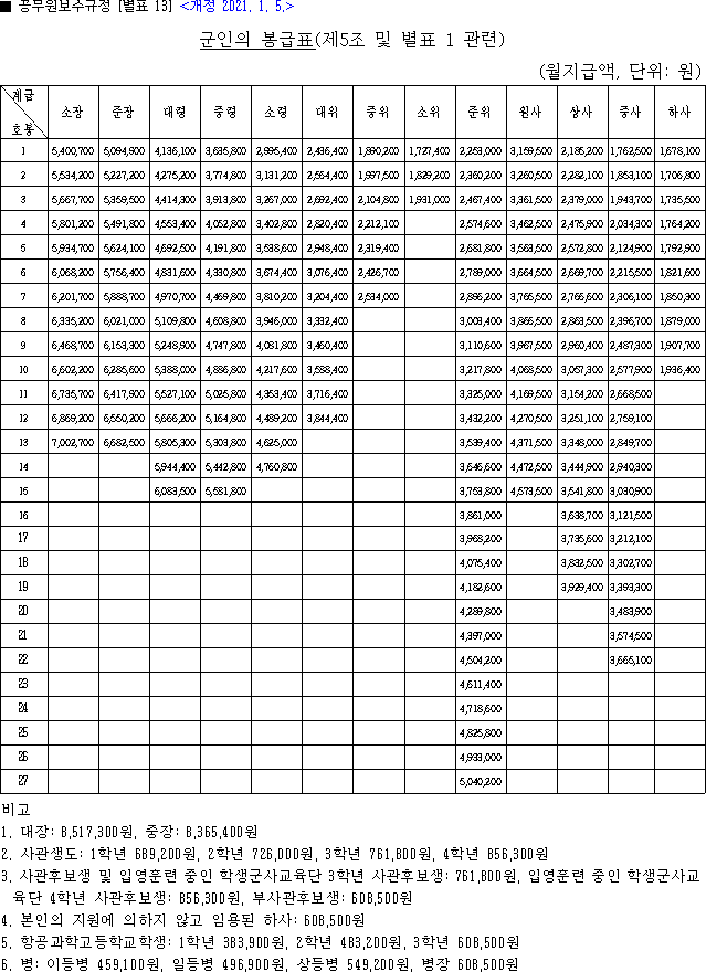
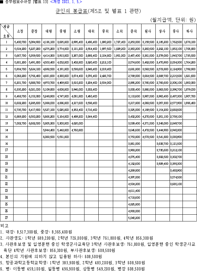
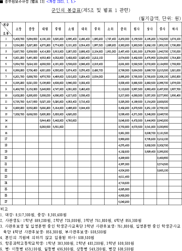
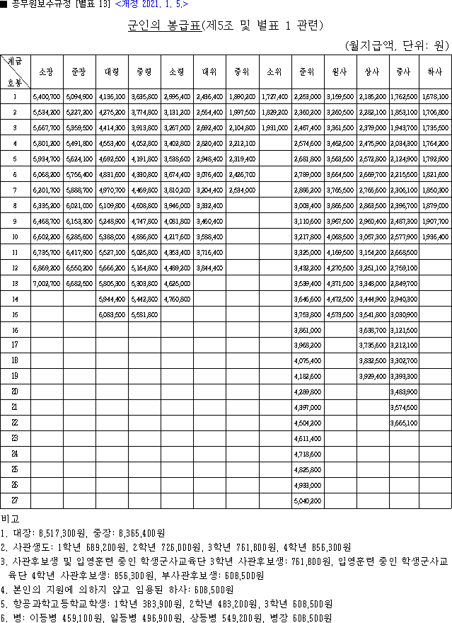
2021 군인 월급

2021 경찰 소방공무원 봉급표

2021 교사 호봉표
아래는 2018년에 작성됐던 글입니다.

9급 1호봉 공무원 월급은 1,448,800원으로 확정되었습니다.
국정원 기조실장 월급은 잘려서 안 보이지만 아마 중장 월급과 같은 7,866,600일 것으로 예상됩니다.
2018년 소방공무원 봉급표 2018 경찰 월급

18년도 군인 봉급표

2018년 대장 월급은 800만 원을 넘었습니다.
중장 월급은 7,866,600입니다.
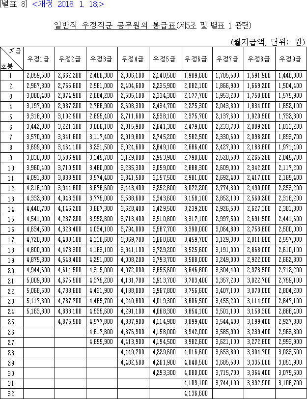
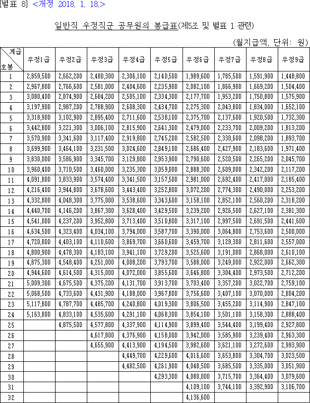
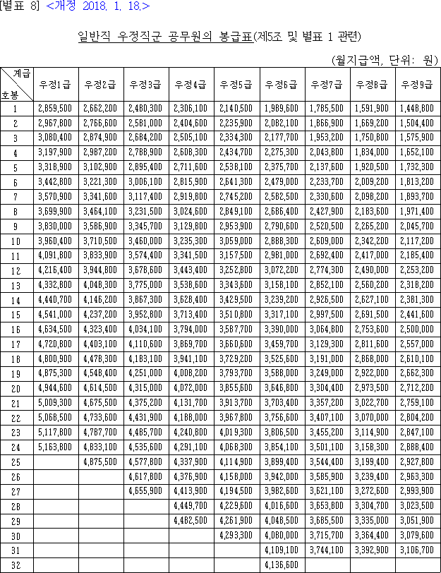
2018년 우정 직군 공무원 봉급표.

우정 9급 공무원 1호봉 봉급도 일반직 공무원 9급 공무원 1호봉 봉급과 동일하게 책정되었습니다.
2018년 교수 봉급표

2018 교원 호봉표

2018년 대통령 연봉

전체적으로 공무원 봉급표는 당초 기재부 발표대로 2.6%가 아닌 2.9%가량 인상된 것 같습니다.
또 한 가지 인상 깊은 것은 작년에 대장 비리 사건으로 화제가 되었던 대장 월급인데요.
이미 대장 월급은 2016년부터 실수령액 기준 1천만 원을 넘은 것으로 알고 있습니다.
그랬던 대장 월급이 기본급만 800만 원이 넘었습니다.
하사 초임이 온갖 기본수당 끌어다가 간신히 최저임금에 맞춘 것에 비하면 그 격차가 너무 큰 건 아닌가 싶네요.
실질적으로 국민을 위해 봉사하는 하위직의 급여는 올려주되, 고위직 공무원의 급여는 과감히 삭감하면 좋겠습니다.
'공무원 정보 > 공무원 봉급표,수당' 카테고리의 다른 글
| 2023년 공무원 봉급표: 경찰, 교육, 소방, 지방 공안직 (0) | 2023.08.15 |
|---|---|
| 공무원 여비규정 2023년 교사 관내 관외 출장 지급 교통비 숙박비 (0) | 2023.08.05 |
| 2024년 공무원 봉급 인상률과 2024 공무원 수당 인상 예측 (0) | 2023.07.24 |
| 교육 공무원 교사 명절휴가비 지급기준 2021 교원 설 추석 상여금 수당 지급일 (0) | 2021.03.23 |
| 인사혁신처 2021년 공무원 봉급표 2021 교사 호봉표 군인 월급 (0) | 2021.01.11 |
| 경찰공무원 봉급표 2021 시보 월급 경찰 계급 (0) | 2021.01.06 |
| 2021년 공무원 연금 인상률 퇴직 2021 사학연금 인상 21년 군인연금 (0) | 2021.01.06 |
| 2020년 공무원 초과근무수당 단가표 2021 교사 군인 시간외수당 지급 단가 기준 (0) | 2020.09.23 |
목차