2023년 공무원 봉급표: 경찰, 교육, 소방, 지방 공안직
안녕하세요, 여러분! 이번에는 2023년 공무원 봉급표에 대해 알아보려고 합니다. 최근에는 직장 선택 시 안정성과 균형을 우선시하는 경향이 늘어나고 있는 것 같습니다. 이에 따라 많은 분들이 공무원 직종을 선호하며 공무원의 봉급에 대한 정보가 큰 관심을 받고 있습니다. 이번 블로그 포스팅에서는 2023년 기준 경찰, 교육, 소방, 지방 공안직 등의 공무원 봉급표에 대해 알아보도록 하겠습니다.

요즘 직장을 선택하는 기준이 월급뿐만 아니라 안정성과 균형을 중요시하는 경향이 늘어나면서, 많은 분들이 공무원 직종에 대한 관심을 높이고 있는 것 같습니다. 특히, 경찰, 교육, 소방, 지방 공안직과 같은 분야는 그 안정성과 다양한 혜택 때문에 많은 사람들이 지원하고 있는 것으로 보입니다.
2023년 공무원 봉급표
이제 우리는 2023년 기준으로 경찰, 교육, 소방, 지방 공안직 등의 공무원 봉급표에 대해 자세히 알아보도록 하겠습니다. 아래는 각 직종별로 주요 공무원들의 봉급표를 살펴보는 내용입니다.
일반직공무원과 일반직에 준하는 특정직 및 별정직 공무원 등

| 직위 | 4급 상당 | 5급 상당 | 6급 상당 | 7급 상당 | 8급 상당 | 9급 상당 |
| 교섭단체 정책연구위원 | 4급 21호봉 | - | - | - | - | - |
| 국회의원 보좌관 | 4급 21호봉 | - | - | - | - | - |
| 국회의원 선임비서관 | - | 5급 24호봉 | - | - | - | - |
| 국회의원 비서관 | - | - | 6급 11호봉 | 7급 9호봉 | 8급 8호봉 | 9급 7호봉 |
2023 소방공무원 봉급표 2023 경찰 월급

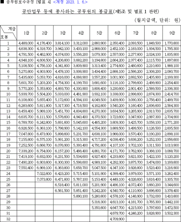
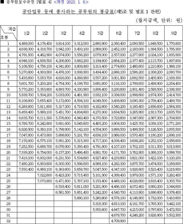
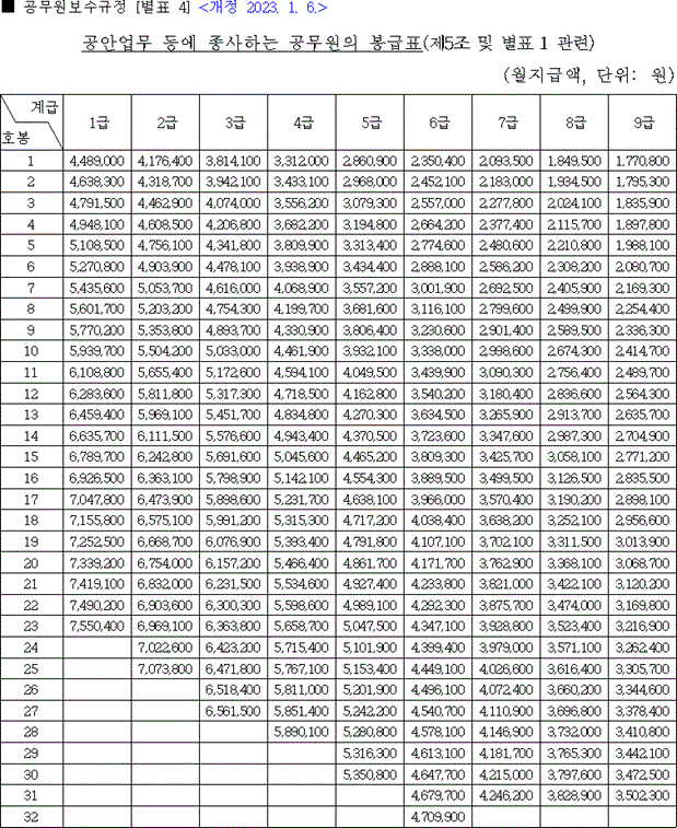
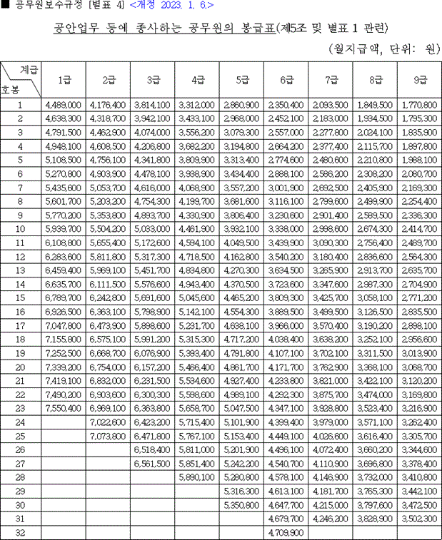
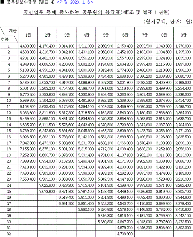
2023 공안직 공무원 봉급표

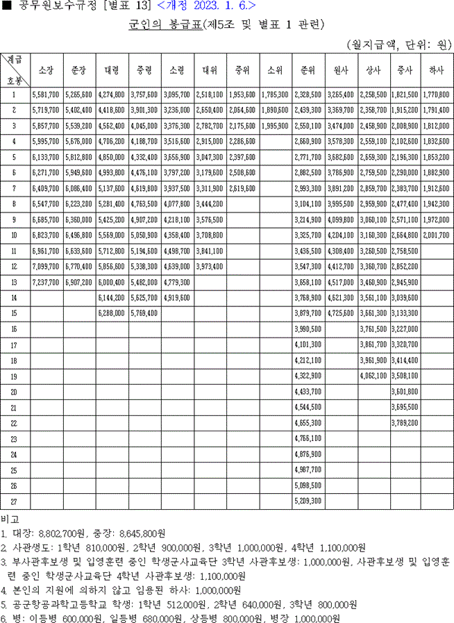
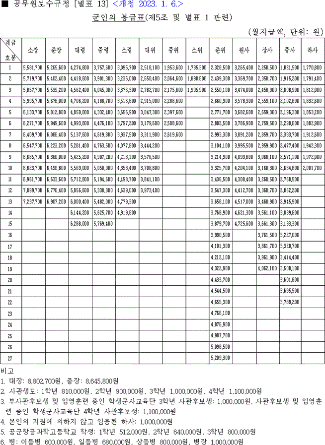
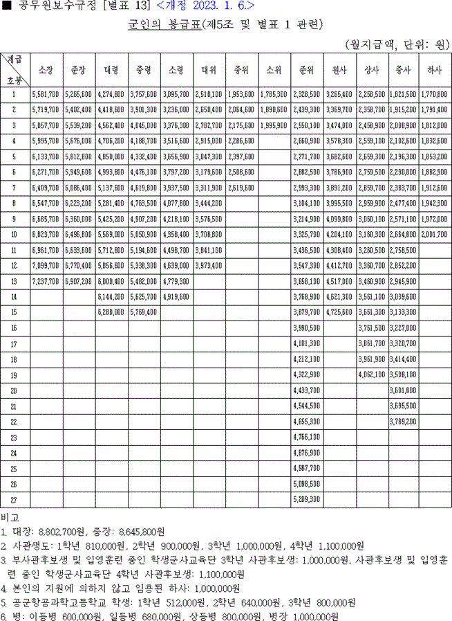
2023년 군인 월급

교사 호봉표 2023

결론
이번 포스팅에서는 2023년 기준 경찰, 교육, 소방, 지방 공안직 등의 공무원 봉급표에 대해 알아보았습니다. 현대 사회에서는 직업 선택 시 월급뿐만 아니라 안정성과 균형을 고려하는 경향이 늘어나면서, 공무원 직종에 대한 관심이 높아지고 있는 것 같습니다. 앞으로도 더 많은 분들이 자신에게 맞는 직업을 선택하고 행복한 삶을 살아갈 수 있기를 바랍니다.
이상으로 2023년 공무원 봉급표에 관한 포스팅을 마치겠습니다. 감사합니다.
반응형
'공무원 정보 > 공무원 봉급표,수당' 카테고리의 다른 글
| 2024년 부사관 월급 2024 군인월급 (0) | 2023.12.18 |
|---|---|
| 2024년 공안직 공무원 봉급표 2024 국정원 직원 철도, 교정직, 마약수사, 국회 경비 방호직 공무원 호봉표 & 2023년 공안직 공무원 봉급표 (0) | 2023.12.05 |
| 2024년 공무원 봉급 인상률 적용 급여 인상 예상 2024 공무원 봉급표, 교사 호봉표, 군인 월급 (0) | 2023.08.24 |
| 2024 공무원 봉급 인상과 전망 (0) | 2023.08.21 |
| 공무원 여비규정 2023년 교사 관내 관외 출장 지급 교통비 숙박비 (0) | 2023.08.05 |
| 2024년 공무원 봉급 인상률과 2024 공무원 수당 인상 예측 (0) | 2023.07.24 |
| 교육 공무원 교사 명절휴가비 지급기준 2021 교원 설 추석 상여금 수당 지급일 (0) | 2021.03.23 |
| 공무원 봉급표2021 (0) | 2021.01.12 |