2024년 공안직 공무원 봉급표 2024 국정원 직원 철도, 교정직, 마약수사, 국회 경비 방호직 공무원 호봉표 & 2023년 공안직 공무원 봉급표
2023년 공안직 공무원 봉급표
2023년 공안직 공무원 봉급표를 살펴보겠습니다. 공안직 공무원은 공공의 안전을 위해 근무하는 공직 분야로, 그 특성상 위험에 노출될 가능성이 다소 높은 직렬 중 하나입니다. 따라서 일반직 공무원과는 다른 봉급표를 적용받게 됩니다.

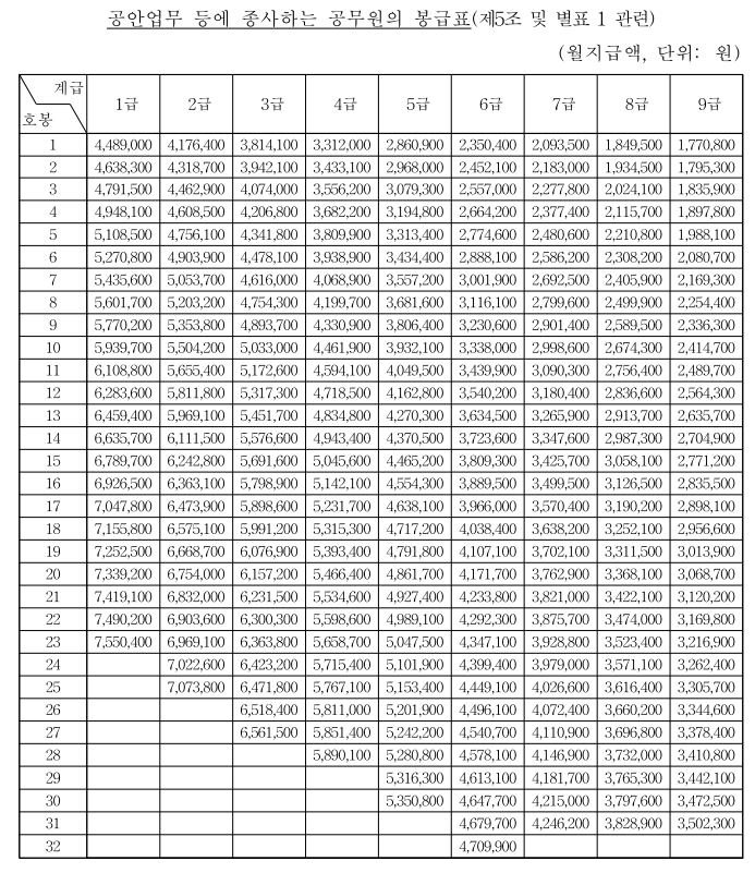
- 초임(군필 남성 기준)인 9급 3호봉: 1,835,900원
- 5년 차인 8급 7호봉: 2,405,900원
- 10년 차인 7급 11호봉: 3,090,300원
- 20년 차에 해당하는 6급 20호봉: 4,171,700원
- 30년 차에 해당하는 5급 29호봉: 5,316,300원
공안직 공무원의 봉급표는 연차가 올라감에 따라 일반직 행정직에 비해서는 10만 ~ 20만 원 정도, 승진이 늦은 경찰에 비해서도 10만 원 이상 높습니다. 이러한 차이는 공안직 공무원의 특별한 근무 환경과 책임 때문에 발생하는 것이며, 그들의 열정과 헌신을 보상하는 일환입니다.
2023년 공안직 공무원 봉급표는 해당 연도의 월급 인상률인 1.7%를 곱한 결과물로, 그해의 봉급을 나타내고 있습니다.
2024년 공안직 공무원 봉급표 살펴보기
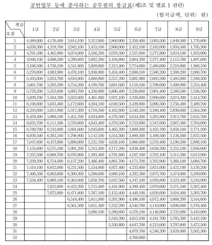
2024년 공안직 공무원 봉급표는 다음과 같이 나타납니다.

- 공안업무에 종사하는 공무원의 봉급표 호봉표
- 공안직 공무원에는 다양한 직렬이 포함됩니다. 예를 들어, 국가정보원 직원, 교도관인 교정직 공무원, 마약수사 직원, 국회 경비 방호직 공무원 등이 이에 속합니다.
- 국회 경비 방호직 공무원은 일반직 공무원 봉급표에 따라 급여를 지급받습니다.
- 예전에는 일반직 공무원 < 공안직 공무원 < 소방 경찰 공무원 월급 순으로 나열되어 있었지만, 2018년부터 9급 1호봉 월급은 세 직렬이 모두 같아졌습니다.
8급 1호봉을 비교해 보면 2024년도 공안직 공무원 봉급이 소방 경찰 공무원보다 높다는 것을 알 수 있습니다. 이러한 착시 현상은 경찰 경정 계급을 8급 공무원으로 간주할 수 없기 때문에 발생한 것입니다. 공안직 공무원과 소방 경찰 공무원은 각각 다른 체계를 따르고 있으므로 직급 체계를 비교하기 어렵습니다.
공안직 공무원의 종류
공안직 공무원은 공공의 안녕과 질서 유지를 담당하는 공무원 종류로 다양한 직렬로 나뉩니다. 이 중에서도 대표적인 직렬은 다음과 같습니다.
- 보호직: 공안직 공무원 중 경호업무 종사자가 이에 해당합니다.
- 검찰직: 형법과 형사소송법을 주요 과목으로 합니다.
- 교정직: 교정학개론과 형사소송법개론을 준비해야 합니다.
- 마약수사직: 형법과 형사소송법이 중요한 시험 과목입니다.
- 출입국관리직: 행정법총론과 국제법개론을 필수로 공부해야 합니다.
- 철도경찰직: 형사소송법개론과 형법총론이 주요 과목입니다.
이들 각 직렬마다 필요한 시험 과목과 체력 시험 등이 다르며, 경찰 경정 계급과도 차이가 있습니다.
공무원 시험은 2022년부터 전문과목이 필수 과목으로 추가되었습니다. 따라서 각 직렬에 따라 필수로 공부해야 하는 과목이 정해져 있으며, 체력 시험도 일부 직렬에서는 필수로 병행해야 합니다.
2024년도에는 이러한 공무원 시험을 준비하는 분들에게도 좋은 결과를 이끌어낼 수 있기를 바랍니다. 공안직 공무원은 국가 안전과 질서를 유지하는 중요한 역할을 하고 있으며, 그들의 노고를 정당하게 보상받을 수 있기를 기대합니다.
2024년 공안직 공무원 봉급표를 통해 공안직 공무원의 급여 현황을 살펴보았습니다. 이들은 공공의 안전과 질서를 유지하기 위해 헌신적으로 근무하고 있으며, 이에 따른 봉급을 받고 있습니다. 공안직 공무원은 다양한 직렬로 나뉘며, 각 직렬에 따라 필요한 시험과 과목이 다르므로 지원 시 충분한 준비가 필요합니다.
2023년과 2024년의 봉급표를 비교하여 공안직 공무원의 급여 상승을 확인할 수 있으며, 이는 그들의 노고와 헌신을 인정하는 결과물 중 하나입니다.
이상으로 2024년 공안직 공무원 봉급표 및 관련 정보에 대한 포스팅을 마치겠습니다.
키워드: 2024년 공안직 공무원 봉급표, 공안직 공무원 종류, 공안직 공무원 시험, 공안직 공무원 급여, 공안직 공무원 봉급 상승, 공안직 공무원 봉급 비교, 공안직 공무원 봉급 차이, 공안직 공무원 특별 봉급
'공무원 정보 > 공무원 봉급표,수당' 카테고리의 다른 글
| 공무원 여비규정: 관내 및 관외 출장비 지급 규정 (0) | 2024.01.28 |
|---|---|
| 2024년 군인 월급 2024 군인 봉급표 - 장교, 부사관 (0) | 2024.01.25 |
| 2024년 공무원 초과근무수당 단가표 군인 교사 우정직 공안직공무원 청원경찰 시간외수당 (0) | 2024.01.05 |
| 2024년 부사관 월급 2024 군인월급 (0) | 2023.12.18 |
| 2024년 공무원 봉급 인상률 적용 급여 인상 예상 2024 공무원 봉급표, 교사 호봉표, 군인 월급 (0) | 2023.08.24 |
| 2024 공무원 봉급 인상과 전망 (0) | 2023.08.21 |
| 2023년 공무원 봉급표: 경찰, 교육, 소방, 지방 공안직 (0) | 2023.08.15 |
| 공무원 여비규정 2023년 교사 관내 관외 출장 지급 교통비 숙박비 (0) | 2023.08.05 |