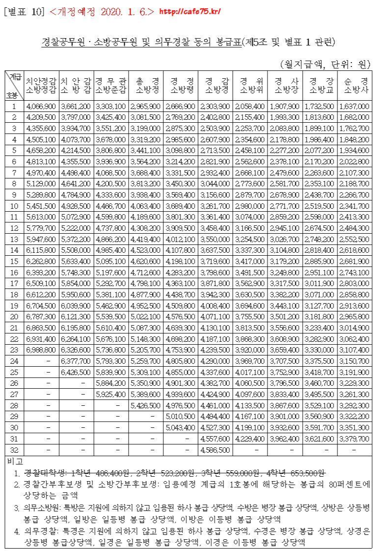
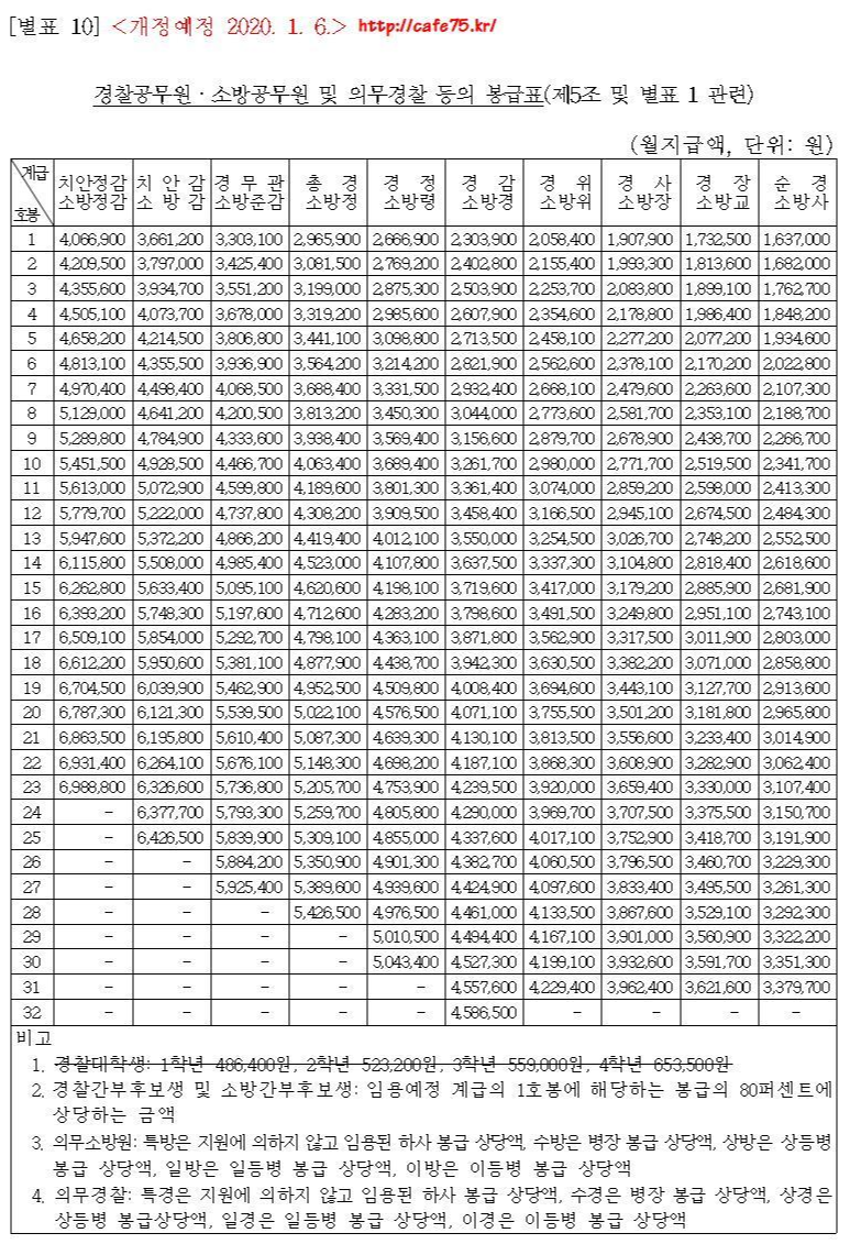
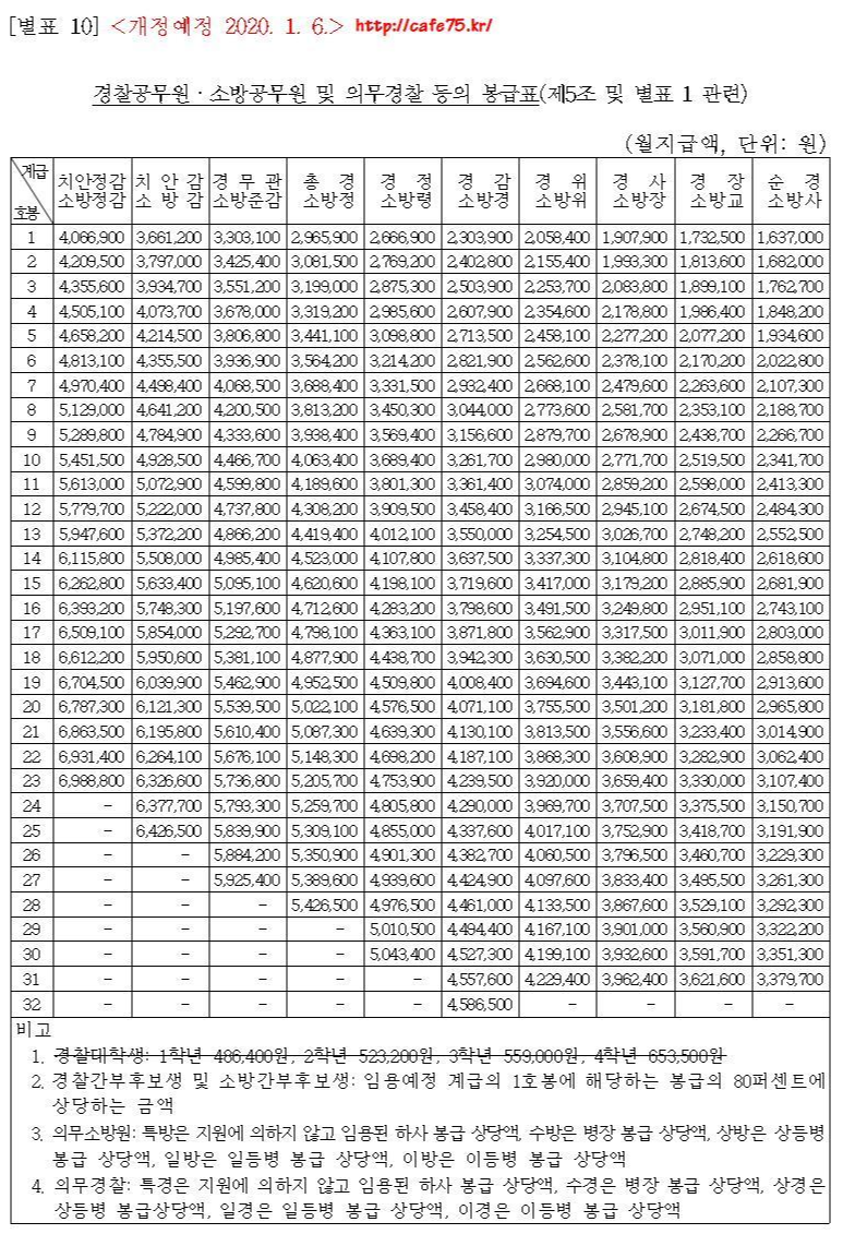
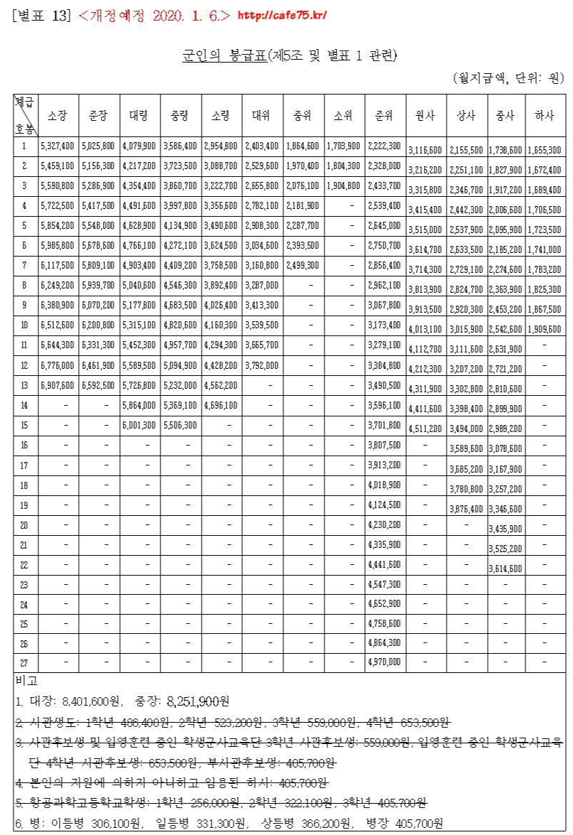
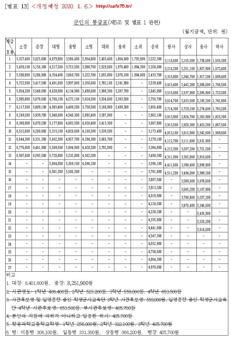
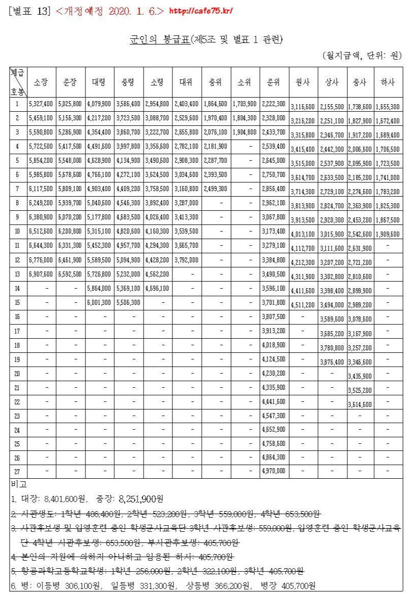
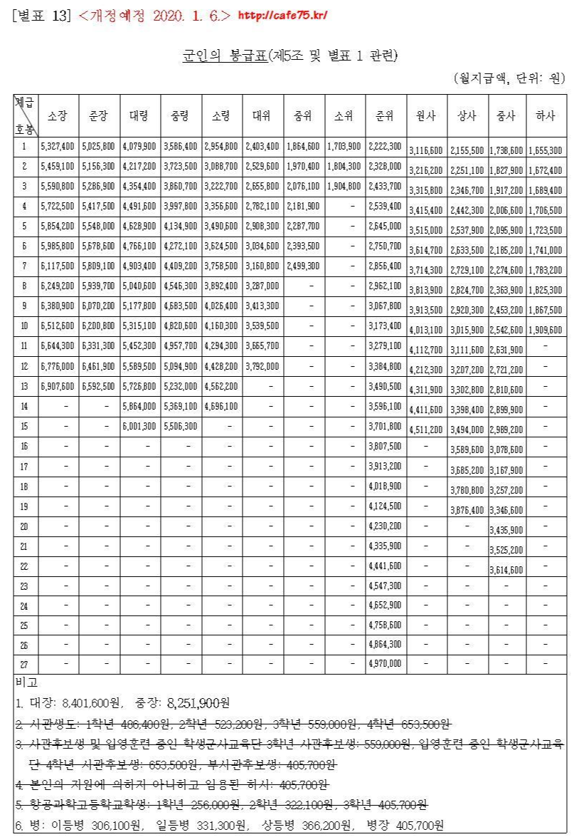
2020년 경찰공무원 봉급표 2020 교사 호봉표 '20년도 공무원 월급표
2020년에는 공무원들의 봉급이 예상대로 2.8% 인상될 것으로 예상됩니다. 이 글에서는 2020년 공무원들의 봉급을 예측한 표를 제공합니다. 단순한 예측치이며, 실제와 다를 수 있습니다. 기계적으로 2.8%씩 더해진 계산이 적용되었습니다.
매년 이렇게 예상 월급표를 만들면 기레기들이 퍼가서 마치 언론에서 만든 것처럼 퍼져나가서 일일이 찾아서 저작권침해로 신고해서 글을 삭제하고 있습니다.
제발 올해는 퍼가지 마세요. 니가 직접 만드세요.




※ 위 금액은 예측치로 실제와 차이가 있을 수 있습니다.
2020년에는 기레기들이 예상 월급표를 퍼가서 마치 공식 발표된 것처럼 보이는 일이 많았습니다. 이에 따라 저작권 침해로 글이 삭제되는 등의 문제가 발생했습니다. 이번에는 직접 만들어서 사용해주시기를 부탁드립니다.
위 예상 공무원 봉급표는 2020년에 대한 추정치를 제공합니다. 이는 단순한 예상치이며, 실제와 다를 수 있습니다. 특히, 기계적으로 적용된 2.8%의 인상률은 예상에 불과하며, 실제 적용된 수치와 차이가 있을 수 있습니다. 이 글은 기레기들이 예상 월급표를 무분별하게 퍼가서 마치 공식 발표된 것처럼 보이는 문제에 대한 경고도 포함하고 있습니다. 저작권 문제와 함께 이에 따른 글 삭제 등의 문제도 언급되어 있습니다.
컨텐츠는 구체적이고, 2020년에 대한 공무원 봉급 예측을 중심으로 하고 있습니다. 또한, 글의 마무리에서는 독자들에게 직접 예측하여 사용할 것을 권장하는 내용을 담고 있습니다.
요약
2020년 공무원들의 예상 봉급표를 제공하였습니다. 이는 실제와 다를 수 있으며, 예측치임을 인지하시기 바랍니다. 직접 예측하여 사용하시길 바라며, 무분별한 퍼가기를 자제해주시기를 부탁드립니다.
'공무원 정보 > 공무원 봉급표,수당' 카테고리의 다른 글
| 2021년 공무원 봉급 인상률 예상 2021 공무원 봉급표 내년 교사 호봉표 보수 인상률 (0) | 2020.08.01 |
|---|---|
| 2020년 공무원 봉급표 2020 교원 호봉표 연구직 지도직 공안직 공무원 판사 검사 월급표 대통령 연봉 (0) | 2020.02.20 |
| 신임 검사 월급 검찰총장 연봉 판사 2020년 봉급표 (0) | 2020.02.17 |
| 2019년 공무원 급여표 - 5급 사무관 연봉, 7급 공무원 연봉, 9급 실수령액 급여 월급 (0) | 2019.11.05 |
| 2018 공무원 시간외수당 단가표 계산방법 (0) | 2017.12.06 |
| 최승일 경장 훈남 경찰 계급 체계와 경찰연봉은? (경찰 공무원 봉급표/계급표) (1) | 2017.11.08 |
| 진짜사나이2 여군4기 태연교관 비타민교관 윤효은 대위 간호사관학교 47기 간호장교 월급 vs 태양의후예 윤명주 중위 군의관 월급 수당 비교 feat 박예리 경위 (0) | 2016.05.01 |
| 경찰 수당인상 112신고 출동수당 건당 3천원 경찰위험근무수당 (0) | 2015.12.29 |
목차