2024년 공무원 봉급표
2024년 공무원 봉급 인상률 적용하여 예상되는 2024년 공무원 봉급표는 아래와 같습니다. 아직 인사혁신처에서 공식적으로 공지한 공무원 봉급표는 아니기 때문에 참고용으로만 사용하시면 좋을 것 같습니다.
공무원 봉급표란?
공무원 봉급표는 공무를 수행하는 공무원이 직급과 호봉별로 지급되는 기본 급여를 표로 나타낸 것으로, 공무원의 봉급에 있어 가장 기본이 되는 급여라 할 수 있습니다.

일반적으로 공무원이 수령하는 급여는 직급과 호봉에 따라 정해진 기본 급여에 정액급식비, 직급보조비, 직무수당 등 각종 수당이 더해져 최종 급여가 결정됩니다. 그리고 명절휴가비나 정근수당 등 대부분의 수당이 기본급을 기준으로 일정 비율로 지급되기 때문에 기본급이 얼마나 오르냐에 따라 급여의 차이도 커 연말이 되면 공무원 분들이 차기 연도의 기본급의 인상률에 큰 관심을 모으는 이유랍니다.
2024년 공무원 봉급 인상률
2024년 공무원 봉급 인상률은 전년에 비해 2.5% 인상이 되었다고 합니다. 최근의 공무원 봉급 인상률을 보아도 대략 4년 만에 가장 큰 폭으로 인상이 된다고 합니다. 아래는 년도별 봉급 인상률입니다.
년도별 공무원 봉급 인상률
| 구분 | 2018년 | 2019년 | 2020년 | 2021년 | 2022년 | 2023년 | 2024년 |
| 물가상승률 | 1.5% | 0.4% | 0.5% | 2.5% | 5.1% | 3.8% | |
| 봉급인상률 | 2.6% | 1.8% | 2.8% | 0.9% | 1.4% | 1.7% | 2.5% |
위에서 보시면 물가상승률과 공무원봉급 인상률을 비교해 보았으며, 인상률에는 기본급만 적용이 되는 것이 아니라 수당과 보조비 등 모두 전체 보수에 적용이 된다고 하니 이를 기억하시기 바랍니다.
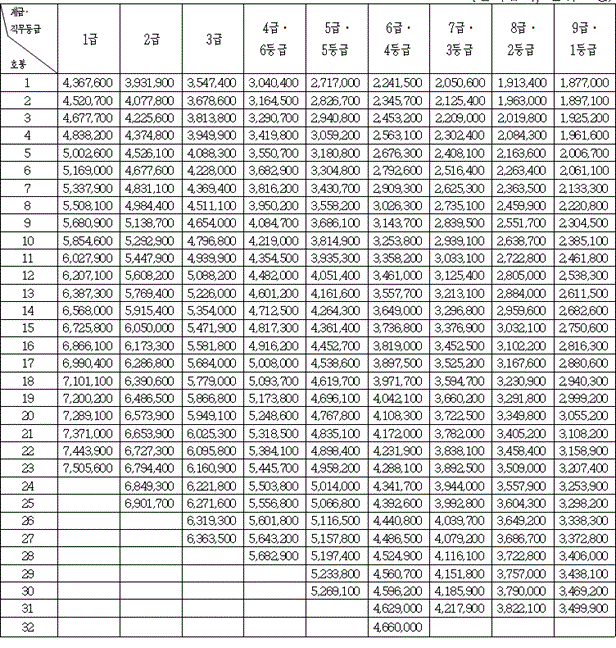
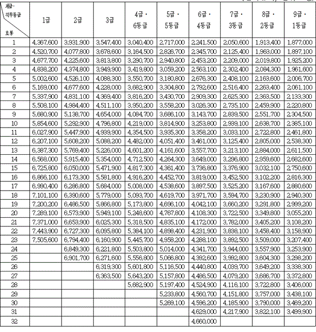
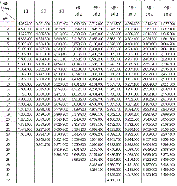
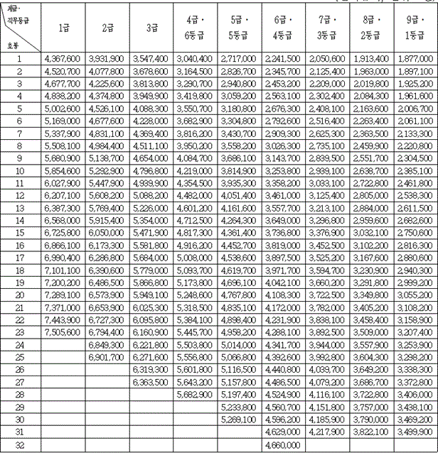
2024년 공무원 봉급표 및 호봉표
2024년 공무원 봉급표는 다음과 같이 예상됩니다. 예시로 몇 가지 직급과 호봉을 살펴보겠습니다.

이 수치는 예시로 제공된 것으로, 실제 인사혁신처의 공지가 나와야 최종 금액을 확인할 수 있습니다. 2024년 공무원 봉급표는 공식 발표 이후에 정확한 내용을 참고하시기 바랍니다.
공무원 봉급 인상의 사회적 영향
2024년 공무원 봉급 인상이 전반적으로 이루어짐에 따라 사회적 영향도 클 것으로 예상됩니다. 특히, 하위직 공무원들의 상대적 박탈감이 문제로 지적되고 있으며, 젊은 청년 공무원들의 이직률이 높아지고 있는 상황입니다. 정부는 이러한 문제를 해결하기 위해 더 많은 노력을 기울일 필요가 있습니다.
현재 우리 경제가 어려운 상황임에도 불구하고, 공무원들의 봉급 인상은 필요하다는 의견도 있습니다. 공무원들은 공공서비스를 제공하는 중요한 역할을 맡고 있기 때문에, 그들의 생활 안정이 곧 국민들에게 제공되는 서비스의 질로 이어질 수 있기 때문입니다.
결론
2024년 공무원 봉급 인상은 많은 공무원들에게 중요한 변화입니다. 인상률은 전년 대비 2.5%로, 최근 몇 년 중 가장 큰 폭의 인상으로 예상되고 있습니다. 이는 공무원들의 생활 안정과 직무 만족도
를 높이는 데 긍정적인 영향을 미칠 것입니다. 그러나 하위직 공무원들의 상대적 박탈감과 이로 인한 이직률 상승 문제를 해결하기 위한 대책 마련도 필요합니다.
공무원 봉급 인상은 공무원 개인의 생활뿐만 아니라 전체 경제에도 영향을 미치는 중요한 사안입니다. 이에 따라 정부는 공무원 봉급 인상의 합리성과 사회적 영향을 고려한 정책을 지속적으로 추진해야 할 것입니다.
2024년 공무원 봉급표가 발표되면 정확한 내용을 확인하고, 개인별 상황에 맞는 계획을 세우는 것이 중요합니다. 공무원분들께서는 자신의 봉급 인상분을 통해 생활의 안정성을 높이고, 그로 인해 보다 질 높은 공공서비스를 제공할 수 있도록 노력해야 할 것입니다.
키워드: 공무원 봉급표, 2024년 공무원 봉급, 공무원 인상률, 공무원 급여, 공무원 수당, 공무원 기본급, 2024년 물가상승률, 하위직 공무원, 공무원 연금, 공공서비스 질
이 글에서는 2024년 공무원 봉급 인상률과 이에 따른 예상 봉급표, 사회적 영향 등을 다뤘습니다. 최종적인 봉급표는 공식 발표 후 확인하시기 바랍니다.
'공무원 정보 > 공무원 봉급표,수당' 카테고리의 다른 글
| 2026년 공무원 봉급표 2026 교사 호봉표 (0) | 2025.09.10 |
|---|---|
| 판사월급, 부장 검사 연봉, 직급보조비, 직무성과금, 봉급조정수당 총정리 (0) | 2025.06.27 |
| 2024년 교사 봉급표: 2024 교육공무원 65세 정년연장, 근가호봉 호봉표, 초임교사 호봉 획정 기준 (0) | 2024.02.23 |
| 2024년 공무원 봉급표 2024 교사 군인 월급 (0) | 2024.02.19 |
| 공무원 여비규정: 관내 및 관외 출장비 지급 규정 (0) | 2024.01.28 |
| 2024년 군인 월급 2024 군인 봉급표 - 장교, 부사관 (0) | 2024.01.25 |
| 2024년 공무원 초과근무수당 단가표 군인 교사 우정직 공안직공무원 청원경찰 시간외수당 (0) | 2024.01.05 |
| 2024년 부사관 월급 2024 군인월급 (0) | 2023.12.18 |
목차