2024년 공무원 봉급표 2024 교사 군인 월급
공무원의 급여 체계는 다양한 요소에 의해 결정되며, 매년 변화하는 경제 상황에 따라 조정됩니다. 2024년 공무원 봉급표에 대해 알아보면서, 직급과 호봉에 따른 기본급 변화, 수당의 종류 및 지급 기준, 그리고 성과급 체계에 대해 자세히 살펴보겠습니다.
공무원 보수체계: 기본급(호봉표) + 수당과 성과급

공무원의 급여는 기본급 외에도 다양한 수당으로 구성됩니다. 직무여건, 생활여건, 가족 구성 등 다양한 요소에 따라 18종의 수당이 지급될 수 있으며, 근무 성과에 따라 성과급도 지급됩니다. 이러한 제도는 공무원이 자신의 역할을 충실히 수행하도록 동기를 부여하며, 생활 안정성을 제공합니다.



2024년 공무원 봉급 인상률
2024년 공무원 봉급 인상률은 전년 대비 평균 2.5% 이상 인상되었습니다. 특히 저연차 및 저직급 공무원인 9급 1호봉의 경우 전체 2.5% 인상률에 3.5% 인상분이 추가돼서 약 6% 가까이 인상되어 최저임금과 격차를 간신히 벌릴 수 있었습니다. 공무원의 박봉은 이렇게 말단직 공무원에 대해 차등을 두지 않으면 최저임금도 벗어나기 힘든 최악의 시대를 살아가고 있습니다. 우수한 인재들이 공무직을 외면하는 가장 큰 결정적인 요인인 것 같습니다.
공무원 직군은 그 범위와 역할이 매우 다양하여, 각기 다른 봉급 체계를 적용받습니다. 2024년 공무원 봉급표를 통해 국립대학 교원, 군인, 전문경력관, 지도직 공무원, 연구직 공무원, 그리고 우정직 공무원 등의 급여 구조에 대해 알아보겠습니다. 이러한 분석을 통해 공무원으로서의 경력 선택에 있어 깊이 있는 이해를 도모할 수 있습니다.
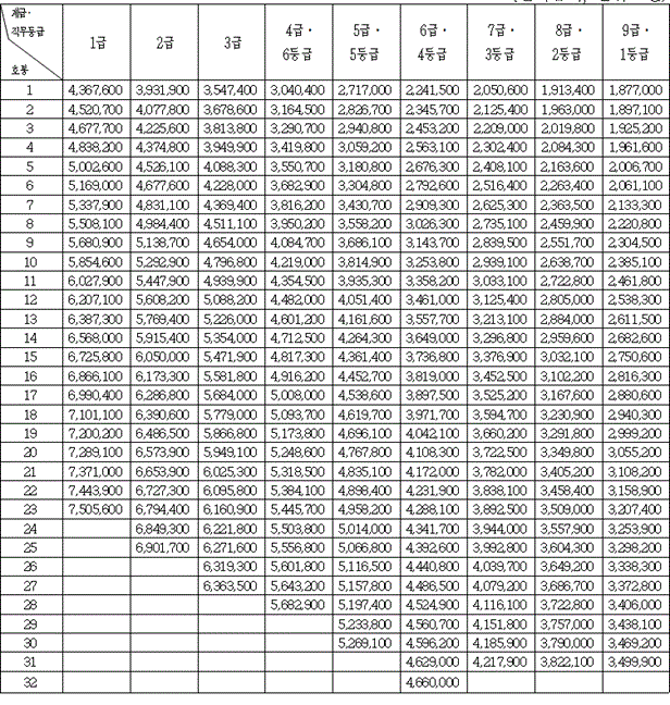
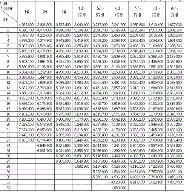
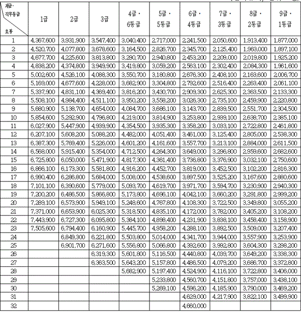
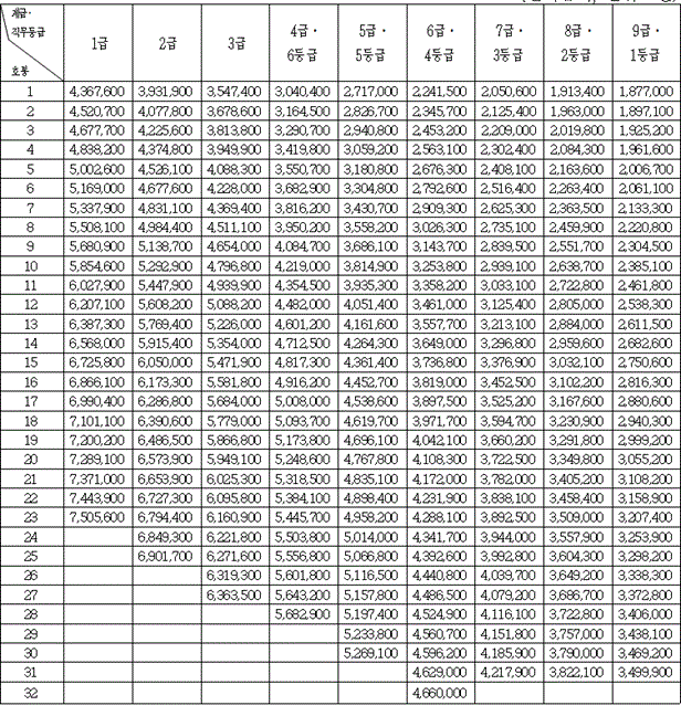
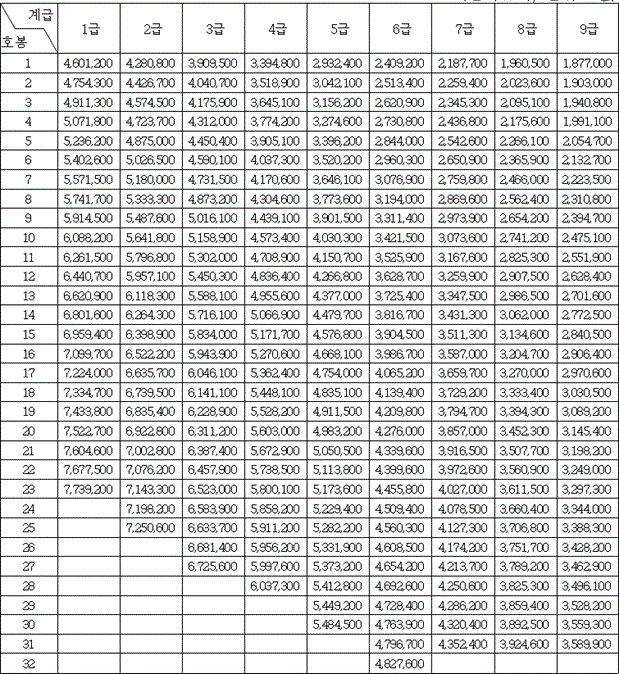
일반직 공무원 봉급표2024

- 9급 1호봉 공무원 봉급표2024 : 9급 1호봉 공무원의 기본급은 1,877,000원입니다. 여기에 직급보조비 17만 5천 원을 더한 월급은 2,052,000원이 되며, 이는 최저시급을 기준으로 한 월급 2,060,740원보다 약간 낮은 수준입니다.
공안직 공무원 봉급표 2024

교정직, 보호직, 검찰직 등 특정 직무에 종사하는 공안직 공무원들은 직무의 특수성을 반영하여 조정된 봉급표에 따라 급여를 받습니다. 이들 직렬은 보다 복잡한 직무와 높은 책임을 요구함에 따라 일반직 공무원과 다른 급여 체계를 적용받습니다.
2024년 경찰 공무원 봉급표, 2024 소방 공무원 봉급표

경찰공무원과 소방공무원은 사회의 안전과 질서 유지라는 중대한 임무를 수행함에 따라 특별한 봉급 체계를 적용받습니다. 이들의 봉급표는 고유의 위험과 직무 스트레스를 반영하여 설계되었습니다.
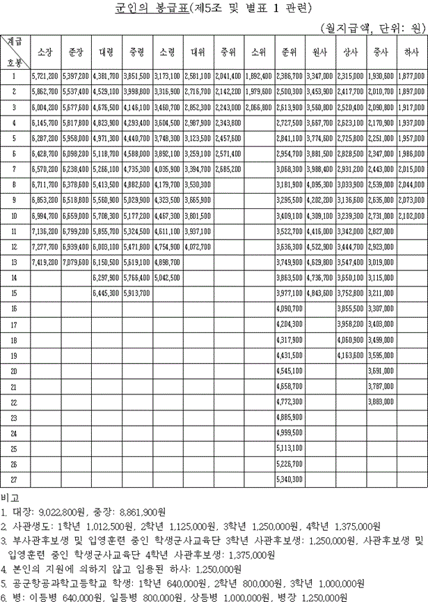
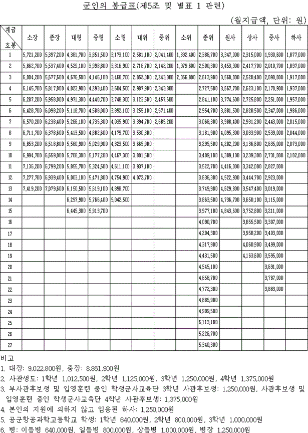
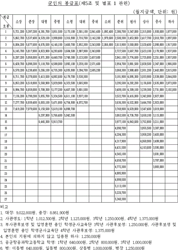
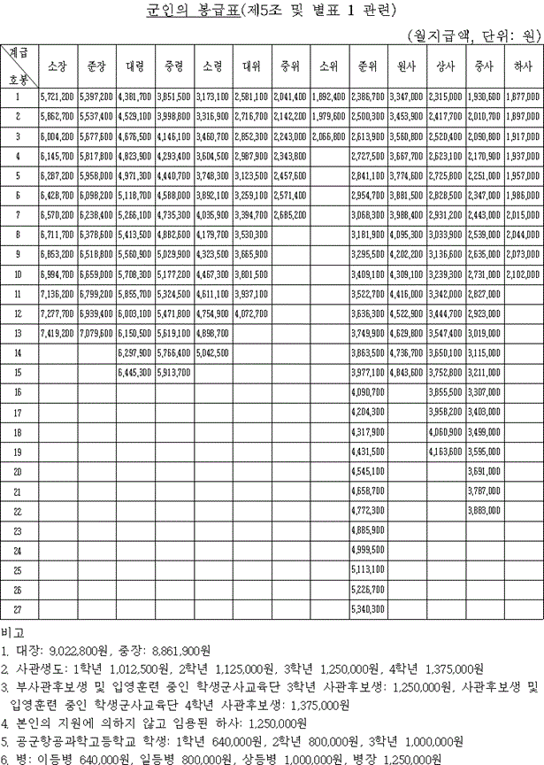
2024년 군인 월급

- 2024년 직업군인 하사 1호봉 군인 월급: 2024 하사 월급은 1,877,000원부터 시작합니다.
- 고위급 장교(대장, 중장): 고정급으로, 대장은 9,022,800원, 중장은 8,861,900원입니다.
2024년 군인 봉급표는 군의 계급과 직무의 특성을 반영하여 구성되며, 사관생도, 사관후보생, 입영 훈련 중인 학생군사교육단 사관후보생 및 부사관후보생, 일반병 등 모든 군인이 이에 따라 급여를 받습니다.
2024년 교사 월급 2024 교육공무원 봉급표

- 사범대학교를 졸업한 교사 월급: 초임교사는 9호봉에서 시작하며, 9호봉 기본급은 2,247,400원입니다. 이는 일반직 6급 공무원 1호봉의 기본급 2,241,500원과 비교해 약간 높은 수준입니다. 교원의 급여는 교육에 대한 투자와 교사의 전문성을 반영한 것으로 볼 수 있습니다.
2024 국립대학 교수 월급 및 특수 교육 기관 교원 봉급표

국립대학교 교원, 국립통일교육원, 국립외교원, 국방대학교, 사법연수원, 경찰대학, 국가공무원인재개발원 등 공무원 훈련기관에 근무하는 교수, 부교수, 조교 등의 보수는 해당 기관의 성격과 필요에 따라 결정됩니다. 이들은 교육 및 연구의 전문성을 바탕으로 고정급이 지급되며, 학교의 종류와 학생 수 등을 고려하여 급여가 책정됩니다.
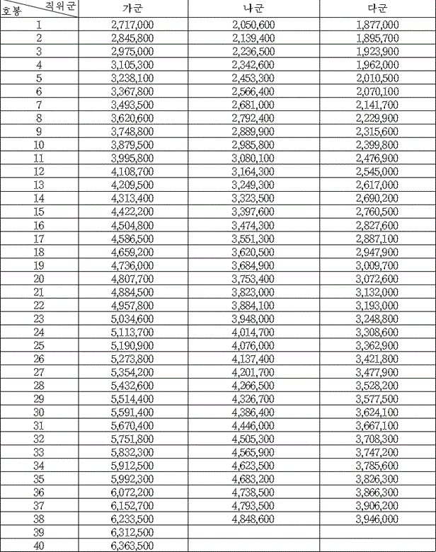
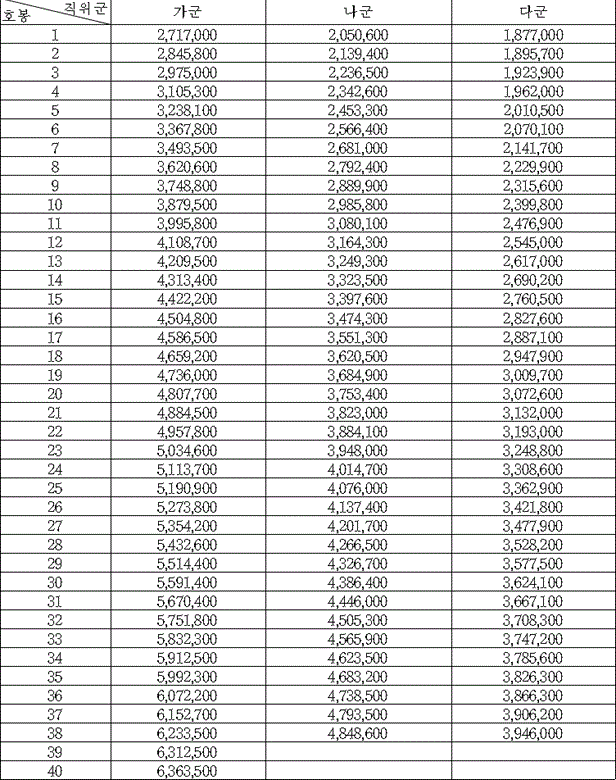
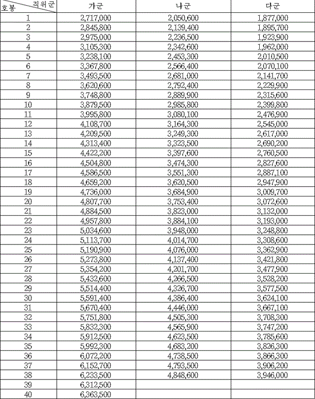
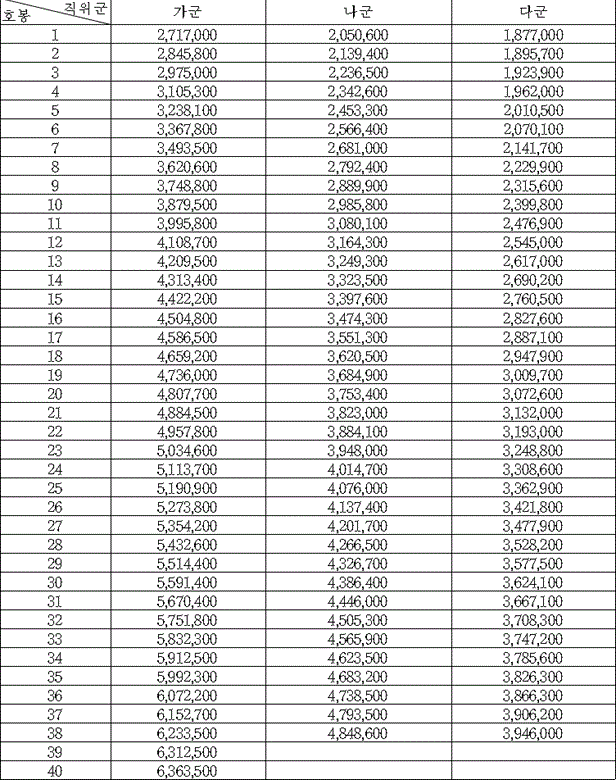
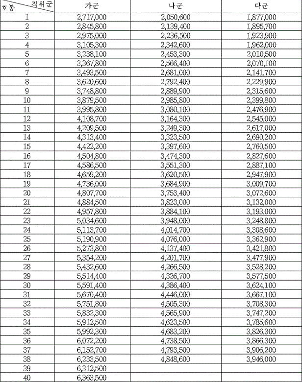
2024 전문경력관 봉급표

전문성이 요구되는 특수직인 전문경력관은 가, 나, 다군의 직위군으로 구분됩니다. 가군은 5급, 나군은 7급, 다군은 9급에 상당하는 봉급을 받으며, 이는 담당 직무의 난이도와 숙련도에 따라 결정됩니다.
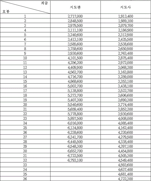
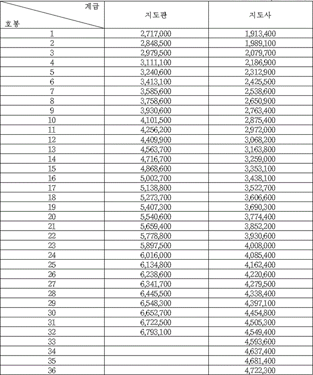
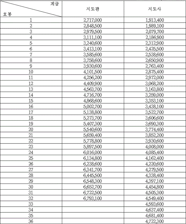
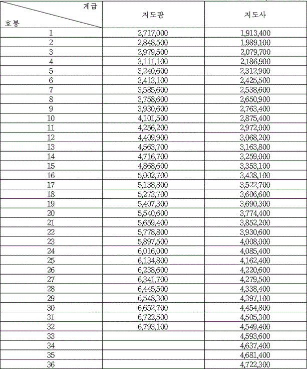
2024년 지도직 공무원 봉급표

- 지도관: 일반직 5급 1호봉(2,717,000원)과 비슷합니다.
- 지도사: 일반직 8급 1호봉(1,913,400원)과 유사한 금액을 받습니다.
지도직 공무원은 국가 또는 지방자치단체의 지도 및 감독 업무를 담당하며, 해당 직급에 맞는 급여를 받습니다.
연구직 공무원 및 국가정보원 전문관 봉급표

연구직 공무원과 국정원 연구관은 연구와 정보 수집 및 분석 업무에 종사합니다. 이들의 봉급은 일반직 5급 상당액(연구관)과 7급 상당액(연구사)으로 책정됩니다.
2024년 우정직 공무원 봉급표

우정직 9급 1호봉은 1,877,000원으로 시작하며, 일반직 공무원과 같이 다양한 수당이 추가됩니다. 우정직 공무원은 우편 및 금융 업무를 담당하며, 이에 따른 적절한 보수를 받습니다.


이러한 다양한 공무원 직군의 봉급표를 통해 각 직무의 특성과 중요성을 반영한 급여 구조를 이해할 수 있습니다. 공무원으로서의 경력을 고려할 때, 이러한 정보는 중요한 기준이 될 수 있습니다.
공무원의 급여 체계는 다양한 직무와 책임을 고려하여 구성되며, 경제 상황의 변화에 따라 지속적으로 조정됩니다. 2024년에는 특히 저연차 및 저직급 공무원에 대한 급여 인상이 두드러지며, 이는 공무원 사회의 균형 있는 발전과 생활 안정성 확보를 위한 정부의 노력을 반영합니다.


'공무원 정보 > 공무원 봉급표,수당' 카테고리의 다른 글
| 2026년 공무원 봉급표 2026 교사 호봉표 (0) | 2025.09.10 |
|---|---|
| 판사월급, 부장 검사 연봉, 직급보조비, 직무성과금, 봉급조정수당 총정리 (0) | 2025.06.27 |
| 2024년 공무원 봉급표 (0) | 2024.04.21 |
| 2024년 교사 봉급표: 2024 교육공무원 65세 정년연장, 근가호봉 호봉표, 초임교사 호봉 획정 기준 (0) | 2024.02.23 |
| 공무원 여비규정: 관내 및 관외 출장비 지급 규정 (0) | 2024.01.28 |
| 2024년 군인 월급 2024 군인 봉급표 - 장교, 부사관 (0) | 2024.01.25 |
| 2024년 공무원 초과근무수당 단가표 군인 교사 우정직 공안직공무원 청원경찰 시간외수당 (0) | 2024.01.05 |
| 2024년 부사관 월급 2024 군인월급 (0) | 2023.12.18 |
목차